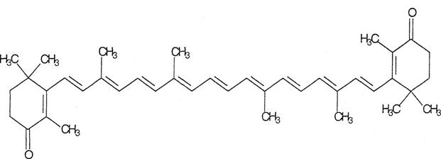
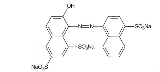
Добавки в храните - ДОБАВКИ, ПОДОБРЯВАЩИ ВЪНШНИЯ ВИД НА ХРАНИТЕЛНОВКУСОВИТЕ ПРОДУКТИ
-
Последна активност
-
Европейски космически скафандър за вътрекорабни дейности на Декатлон
От SAlexandrov, in Космически науки
- 2 мнения
- 212 прегледa
-
- 356 мнения
- 41069 прегледa
-
Епохи на историята – интегриране на генетичните методи в историческите изследвания
От D3loFF, in Aрхеогенетика
- 11 мнения
- 374 прегледa
-
- 16 мнения
- 3772 прегледa
-
феноменът Ulysses в изкуството от Древността до наши дни 1 2 3 4 6
От Евристей, in Култура и Изкуство
- 147 мнения
- 6613 прегледa
-
-
Последно разглеждащи 0 Потребители
- No registered users viewing this page.

Препръчано мнение
Напиши мнение
Може да публикувате сега и да се регистрирате по-късно. Ако вече имате акаунт, влезте от ТУК , за да публикувате.