Какво представлява дисконтираната стойност?
Дисконтираната стойност е ключова концепция в икономиката и финансите, която определя настоящата стойност на бъдещи парични потоци. Тя служи като инструмент за анализ и сравнение на паричните потоци, които се реализират в различни времеви моменти, предоставяйки основа за вземане на информирани инвестиционни решения.
Какво представлява дисконтираната стойност?
На практика, дисконтираната стойност отразява стойността на бъдещи парични плащания спрямо стойността на предоставения в заем кредитен ресурс. Тя помага да се определи колко струват днес паричните потоци, които ще бъдат получени в бъдеще, като се вземат предвид фактори като инфлация, лихвени проценти и рискове.
Определянето на дисконтираната стойност зависи от редица рискови фактори, които влияят върху стойността на парите във времето:
-
Инфлация: Повишаващите се цени намаляват покупателната способност на парите в бъдеще.
-
Срок на заема: Колкото по-дълъг е периодът, толкова по-ниска е настоящата стойност на бъдещите плащания.
-
Присъщ риск: Рискът, свързан с конкретна инвестиция или заем, също влияе върху дисконтираната стойност.
-
Стойността на парите във времето: Принципът, че парите днес имат по-голяма стойност от същата сума в бъдеще.
-
Други фактори: Включително макроикономически условия и пазарна нестабилност.
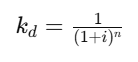
За да се изчисли дисконтираната стойност, се използва следната формула: k_d = 1 / (1 + i)^n
където:
-
i процентната (дисконтовата) ставка,
-
n броят на периодите (например години).
Тази формула показва как бъдещите парични потоци се намаляват до тяхната настояща стойност чрез умножаване с дисконтовия коефициент .
Дисконтираната стойност е незаменим инструмент за всеки, който се занимава с финансово планиране, инвестиции или анализ на проекти. Тя позволява да се направят обективни оценки за стойността на бъдещи доходи и разходи, което е от съществено значение за оптималното управление на ресурси и вземане на стратегически решения.

0 Коментари
Препоръчани мнения
Все още няма коментари.