Забелязахме, че използвате Ad Blocker

Разбираме желанието ви за по-добро потребителско изживяване, но рекламите помагат за поддържането на форума.

Имате два варианта:
1. Регистрирайте се безплатно и разглеждайте форума без реклами
2. Изключете Ad Blocker-а за този сайт:
    • Кликнете върху иконата на Ad Blocker в браузъра
    • Изберете "Pause" или "Disable" за този сайт

Регистрирайте се или обновете страницата след изключване на Ad Blocker

Отиди на
Форум "Наука"

Препръчано мнение

  • Потребител
Публикувано

Да, но защо този бунт се яви във Франция, а не в Испания?

Защото французите не бяха така фанатично религиозни, както испанците, които се изживяваха като пазители на католицизма. Във франция все пак останаха трезво мислещи хора, наречени буржоа, такива в испания нямаше. То и дума за това няма там.

За да имаш революция, не е достатъчно да има една мизерстваща и недоволна маса. Особено ако държавата е силно неравновластна, е нужна класа от проресивни интелектуалци, лидери, които да я оглавят. Ето такава класа имаше във Франция, но липсваше в Испания.

Фактът, че французите все пак се двоумиха в началото по кой път да поемат - стария или новия - показва, че все пак са малко по-умерени от испанците, които без да се двоумят, станаха веднага стожери на католицизма.

  • Потребител
Публикувано

Хайде сега, разточителство, разорило Испания. Луи 14 разори ли Франция? Ами английските крале и те ли са разорили Англия?

Това е именно онази колониална глътка въздух, която е продължила испанския феодализъм по-дълго.

Ето ти от след събора в Тренто (който впрочем е в Италия и би трябвало да засегне целия свят, но не... )- ето ти Гоя.

http://bg.wikipedia.org/wiki/Франсиско_Гоя

Ами към азбучни истини като Сервантес да се връщаме ли? Рицарят на печалния образ с леген на главата...... това да не би да се роди в някакво атеистично общество?

Калдерон де ла Барка, Тирсо де Молина, Лопе де Вега?

Има едно заспиване през 19 век, но коя култура цъфти без да спре повече от 200 г.?

Това си е нормален ход, историческа специфика и религията тука изобщо, ама изобщо не можем да я виним.

Ами нали точно това пиша и аз. Всички тези образи - Сепулведа, Камойш, Лопе де Вега, Кеведо, Мурильо, и тн. се раждат в едно време, преди Догматизирането и истеризирането на католицизма след събора в Тренто. След него - 17 18 19 век, такива личности вече нямат.

ей на, чети:

Авторът започва речта си с апология на времето преди откриването на Америка. Забляга на културния и научен просперитет на полуострова по време на арабския халифат и установяването на първите католически кралства на Портокале, Кастиля, Леон и Наварра през 12-14 век – универститетските центрове на Куимбра и Саламанка, едни от първите в Европа, крал Афонсу Мъдрия, развитието на средновековната философия, поезия, музика и театър в споменатия период – легендарния цикъл за Ел Сид, Романсеро, Инфантес де Лара, които са иберийският еквивалент на епосите за Кръглата маса на крал Артур, епосите за Карл Велики и Светия граал. През 13 век се развива своеобразен испански театрален стил в лицето на Романсеро. Това е епохата на трубадурите. За развитието на архитектурата типични и оригинални образци са Баталя и катедралата в Бургос – най-красивите образци на готическата архитектура в Европа от 13 век. Специално внимание се обръща на огромното интелектуално усилие на Дом Енрике Мореплавателя в манастира Сагреш на брега на океана, където в началото на 14 век се събира най-голямата географска школа на света, която ражда имена като Бартулумеу Диаш е коствено влие на Магелан и Колумб. Именно в тази епоха – 13-14 век – погледът на цяла Европа е вперен в Испания и Португалия – държави с оригинална интелектуална мощ. Неслучайно в споменатия период Свещенната германска империя предлага короната си на кастилския крал Афонсу Мъдри. Един от най-важните европейски владетели на 15 век е португалския крал Жуау I. В споменатия период, от 43 университети в Европа, 14 са основани от испанските крале. Представители на типично иберийски чисто нов литературен стил са световноизвестните Камойш, Сервантес, Лопе де Вега, Жил Висенте, Са де Миранда, Ферейра, Алфонсо де Кеведо. Раждат се световни философи като Мигел Сервет, предшественик на Харви, Сепулведа, един от първите перипатетици на Средновековието, и португалецът Саншеш, учител на Монтань. Школата на хуманистите, типична за Ренесанса, е представена в лицето на Андре де Ресенде, Диого де Тейве, Антонио Аугустин, Дамиау де Гойш, и Камойш – притежател на универсална ерудиция. Развитието на иберийското изкуство намира самобитно изражение в лицето на Веласкес, Мурильо, Рибера.

За всеки е ясно, че до началото на европейския ренесанс тези две държави създават една уникална, тяхна си, и неповторима култура, която няма никъде в Европа. Достатъчно е да споменем Дон Кихот на Сервантес, роман, който няма аналог в световната литература преди и след това, или Лузиада на Луиш Камоиш, вдъхновен от Омир – първият европеец, който прокарва идеята за патриотизма и национализма в литературата.

В последните 2 века (17 и 18) Иберийският полуостров не е дал нито един бележит човек, които да се нареди сред създателите на модерната наука. От полуострова не излиза нито едно от големите интелектуални открития на модерния дух. В продължение на 200 години, между 17 и 19 век Европа реформира старите науки и създава 6 или 7 нови – анатомия, физиология, химия, физика, астрономия, геология. Появяват се Нютон, Декарт, Бейкън, Лайбниц, Харви, Бъфън, Дюканж, Лавоазие, Вико. Къде сред тези и сред много други истински герои на интелектуалната епопея има испанско или португалско име? Кои испанец или португалец между 17 и 19 век се свързва с откритието на някой базисен научен закон, система или значим факт? Докато образована Европа се облагородява и развива чрез наука, точно поради липса на наука ние западаме, деградираме и се унищожаваме модерния дух в себе си.

Такива сме през последните три века – без богатство, без наука, без прогрес и открития. С цената на много усилия днес ние, испанци и португалци се надигаме от гроба, където нашите огромни грешки от миналото са ни заровили. Но остатъците от пръст в очите все още замъгляват зрението ни, а по бледостта на лицата ни останалият свят добре може да види от какъв зловещ свят идваме.

Какви са причините за този упадък – толкова виден и всесъщ, и почти необясняван досега. Нека разгледаме процесите, които се извършват на Иберийския полуостров през 16 век, период на преход между Средновековието и модерните времена, в който се появяват зародишите, добри или лоши, които в по-късно време ще оформят характера на модерните общества. Точно в тези нови феномени трябва да се търсят причините за упадъка на нашите две общества.

Тези генерални феномени са три – морален, политически и икономически. Първият е трансформирането на католицизма чрез Събора в Тренто. Вторият е налагането на абсолютизъм чрез потъпкване на локалната независимост. Третият е завладяването на далечни колонии.

това го публикувах вече по-рано днес в темата "Причини за упадъка на Испания и Португалия в 17-19 век"част 1

  • Потребител
Публикувано

Да плача ли или да се смея. Такъв тьорлу гювеч отдавна не бях чел ;). Ся правя едно изследване: Онанизма двигател на световния прогрес. Обработвам данните. От Испания имам 100% (това значи, че съм изследвал 3-ма и 3-та са за). Португалия не участва (:( не'ам познати там). Арабския свят не е признат т.е. включен де (щот те не си признават). По последни необработени данни (98,9888%) излиза, че в 63,78% онанистите са двигатели, 38,53% са двигатели но не са практикуващи онанисти (поне не всеки ден), 58,54% са пълни двигатели и не знаят кой е Онан (тук се налага допълнителен въпрос), 24,78% не признават нищо (беше приложена трета степен в 98,34% от случаите - пак не признават), 15,78% признаха всичко (от тях 78,56% обещаха да признават всичко и за в бъдеще). Та така :)

  • Потребител
Публикувано

Е че то и Испания не живее зле днес?? :)

Когато испанците тънеха в мизерия и англичаните тънеха там. И даже много по-зле бяха, защото климатът им по-трудно понася мизерията. Дето се вика, по-скотро бих приел това като двигател и спирачка на инициативата, отколкото религията. :)

Испания днес живее много добре, защото отбеляза рязък, значителен спад в религиозността, и вече не е сред групата на религиозните държави.

  • Потребител
Публикувано
Хммм, при Луи Четиринайсети ли избухва Революцията? Виж ти, не само Дикенс е за боклука, историите на Френската революция - също.

Пък и някъде пак там бях чел, че Революцията я правят не най-бедните, а лекари, нотариуси, адвокати... буржоазия, както се казва. По-скоро хората със собствен бизнес, а не най-мизерстващите. Даже странно, най-бедните остават на страната на краля... Юго май обаче ще последва Дикенс и историите на революцията.

Не съм казал, че революцията е избухнала при луи 14, това къде го видя?

ХАйде моля да не се заяждаме на дребно, защото очевидно несъстоятелността на тези от типа на "строежът на катедрали - двигател за икономическо развитие и заетост" често избива в лични нападки, от които и аз се пазя, но не винаги успявам да се опазя за съжаление.

  • Потребител
Публикувано

Сега малко по-сериозно. Корелации може да се намерят общо взето навсякъде. Но да се твърди, че сега религията спира науката е не само глупаво, а и невярно. Хайде науката иди доиди, но просперитета? Ще дам няколко примера. Първо за науката. Не Англия и Холандия или Швеция "измислиха" атомната бомба. Щатите я направиха, а СССР отговори с водородната. Къде бе роден първия комп? И първата мрежа (иначе нямаше как да си пиша глупостите ;)). Според теб или автора на изследването религията изисква статуквото да се запази. Но не е така. В средновековието може би но не и сега. Прокламираш развитие на науката в ущърб на религията, но именно религията роди "социалните" науки. Ако не беше спора в Ефес нямаше да има Декарт. Да не пишем за Ничше и Шопенхауерр или Маркс. Да погледнем Изтока, там никога не е имало такива проблеми ;). Споменаваш Япония като не религиозна д-ва. Ама не е такава. Напротив. А Китай? Споменаваш Руската, после Съветската после пак Руската д-ва. Ами огромна част от откритията са създадени от тях. Ломоносов великия Менделеев ;).

Сега за просперитета. БГ народа е един от най-малко вярващите, но не сме "просперирали" много. Турците например станаха "почти" световна сила. В Русия се наблюдава мозайка :), има ли нефт и газ просперират, няма ли оставт си "мужици". Любимата ти северна Италия, ами иди и виж. Там италианци нема :). Има негри и араби и германци и австрийци и французи, ахааа и ретророманци!!!

  • Потребител
Публикувано
Мани го ти Гоя, он е декатентин :) Алва пита за БВП, не за непреходни стойности.

Виж, темата е религия и социално-икономическо развитие, не религия и архитектура или живопис. Социално-икономическото развитие на един народ се мери с показатели, като БВП, паритет на икон. търсене, продължителност на живота, нива на грамотност, пристъпност, и тн, не със архитекрурни стилове.

  • Потребители
Публикувано

А пък аз мислех, че е за религия и социална патология. Щото социалната патология също не се мери според индекса Дау-Джоунс.

  • Потребител
Публикувано
А пък аз мислех, че е за религия и социална патология. Щото социалната патология също не се мери според индекса Дау-Джоунс.

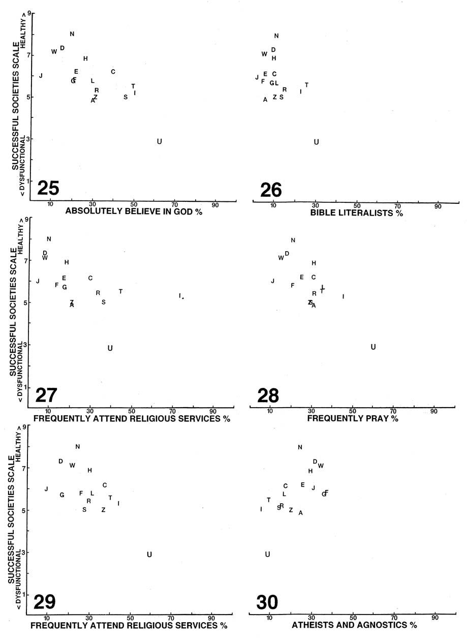
Напротив. Социална патология според статията, която публикувах, се измерва чрез комплексна скала от 25 социално-икономически показатели, като БВП, детска смъртност, грамотност, заболеваемост, продължителност на живота, заетост, престъпност, самоубийства, аборти, раждаемост, смъртност, задоволство от живота, корупция, индекс на Джини и тн, психични разстройства, неврози, и тн. можеш да видиш пълния списък в текста.

Всяко едно от тези неща е социална патология, демек социален или икон. проблем за обществото. Сумарната оценка по скалата дава предства според кумулативната си оценка по тези показатели едно общество е социално и икономически здраво, или патологично.

Например, ако обществото ти е първо в света по самоубийства, това е социална патология.

Ако държавата ти е първа в света по психични разстройства, или по детска смъртност сред богатите 17 държави, това също е социална патология.

Ако страната ти е първа по индекс на бедност, също това е социална патология.

  • Глобален Модератор
Публикувано (edited)

Първо, това твърде разширява понятието "социална патология" и тука е първата грешка или манпулация на статията - така всеки един проблем, а няма общество без проблеми, може да се квалифицира като социална патология и на тази база да се развие широка негативна оценка. Това, разбира се, няма да е адекватно на реалностите, но ще звучи страховито.

Любим подход на всеки пропагандатор (като тук подразбирам такъе на неверни тези) е да сравнява реалностите с някакви идеални ситуации, каквито никога не са съществували. Точно това става и тука.

Второ, в цялата тази система от скали и данни, които визират само части от явленията, така и не се вижда връзката между религиозност и упадък, която се твърди. Дори не се вижда абсолютно съвпадение по държави. Има такава, но далеч не е така определяща, както я представя автора и най-вече, не е задължително да е винаги с негативен знак религиозността.

Редактирано от КГ125
  • Потребител
Публикувано
Първо, това твърде разширява понятието "социална патология" и тука е първата грешка или манпулация на статията - така всеки един проблем, а няма общество без проблеми, може да се квалифицира като социална патология и на тази база да се развие широка негативна оценка. Това, разбира се, няма да е адекватно на реалностите, но ще звучи страховито.

Любим подход на всеки пропагандатор (като тук подразбирам такъе на неверни тези) е да сравнява реалностите с някакви идеални ситуации, каквито никога не са съществували. Точно това става и тука.

Второ, в цялата тази система от скали и данни, които визират само части от явленията, така и не се вижда връзката между религиозност и упадък, която се твърди. Дори не се вижда абсолютно съвпадение по държави. Има такава, но далеч не е така определяща, както я представя автора и най-вече, не е задължително да е винаги с негативен знак религиозността.

Но има общества с повече проблеми от други, както е видно.

Няма никакви идеални ситуации, а се сравняват показатели. Не разбирам за какви идеални ситуации говориш, след като нито една от държавите няма стойност 10, което е максимума. Но има такива с 2, и такива с 8.

По абсолютно същият начин се изчислява и ИНДЕКСА НА ЧОВЕШКО РАЗВИТИЕ - на базата на 20-30 различни показатели.

Връзката между религия и социална патология е явна. Религиозните държави са в дъното на класацията, нерелигиозните са в другия край.

  • Потребител
Публикувано

Ако не си съгласен с нещо, заповядай, изчисли друг твой си комплексен социално-икономически показател за развитие.

Добре че авторът не е включил в изследването си държавите от Азия, Африка и арабския свят. Защото ако ги беше включил, щеше да видиш какво се казва абсолютно съвпадение между бедност и религиозност.

  • Потребител
Публикувано
САЩ и Ирландия защо не са?

Досега не съм видял едно доказателство за това, което казваш.

Е как да не са. САЩ и Ирландия, както и Нова Зеландия и Австралия са с най-ниски стойности по скалата. Старнно как те са и най-религиозните. Виж таблица 1. Другите 14 страни, които са нерелигиозни, са по-нагоре. Извод - нерелигиозните страни се представят по-добре.

САЩ има най-ниска обща оценка 2.9, Зеландия и Австралия, Ирландия и Италия са около 5. Всички други нерелигиозни страни са от 6 до 9.

Извод - след задълбочен социално икономически анализ на 17 страни, стана ясно, че религиозните се представят по-зле от нерелигиозните.

Имаш 40 страници с таблици и доказателства.

  • Потребител
Публикувано
40 страници стъкмистики имам. Скоро ще покажа защо смятам така. :)

Всеки може да каже така. Това е извинението на този, който няма аргументи. Другата алтернатива са личните нападки, но ти тъй като си достатъчно интелигентен, спокоен и ведър, си скаран с това, което е похвално.

По някои показатели религиозните страни в изследването са пред нерелигиозните. Това е доказателство за безпристрастността му.

  • Потребители
Публикувано

За стъкмистики чак няма да говоря, но по мои частни наблюдения прилично състоятелни, ведри и нормално живеещи хора, с които съм имал възможност да общувам в Италия, Австрия, Словакия и Испания държаха да посещават неделната католическа меса и гледаха с известно пренебрежение на малцината си съграждани, които не го правят. Това с пълна сила важи и за методисти в северните Щати. Все хора със свой бизнес. Явно връзката между социална патология и религия се губи.

  • Потребител
Публикувано
За стъкмистики чак няма да говоря, но по мои частни наблюдения прилично състоятелни, ведри и нормално живеещи хора, с които съм имал възможност да общувам в Италия, Австрия, Словакия и Испания, държаха да посещават неделната католическа меса и гледаха с известно пренебрежение на малцината си съграждани, които не го правят. Това с пълна сила важи и за методисти в северните Щати. Все хора със свой бизнес. Явно връзката между социална патология и религия се губи.

Частните наблюдения не могат да се сравнят със сериозни научни изследвания и показатели. Тук говорим за цели общества и техните показатели, не за твойте приятели.

Неслучайно започнах темата с разликата, която съществува между индивид и общество.

Все пак има сериозна разлика между ведрите хора, които ходят на неделна църква и обществата им са зле по нива на социално-икономическо развитие, и ведрите хора, които не ходят на църква, и държавите им се развиват по-добре.

Това е все едно да кажа - абортът е нещо лошо, но сестрами ми абортира, и е щастлива.

Значи личните мнения и впечатления не се смесват с наука и социлни изследвания за цели общества.

Това поне се опитвам да правя. Защото от всичките ми приятели, аз съм най-религиозният. В този форум наскоро спорих доста настървено, след като пунах тема, на име Доказателство за съществуването на Бог. Спорих срещу тези, които твърдяха че Бог няма. Ами има. И това доказателство ми беше вдъхновено от една лексия на Калин Янакиев.

Но в какво вярвам аз или от коя партия съм, няма нищо общо с това каква е реалността, колкото и да не ни харесва.

  • Потребители
Публикувано

Хммм, австрийците май не са от най-бедните... Техните работи по-скоро се развиват прилично. Иначе си прав за научната извадка и превъзходството й пред емпириката, само че каква наука без емпирика? Да не се върнем при Аристотел, дето казвал, че като разсъдим логически, стигаме до извода, че жената несъмнено има по-малко зъби от мъжа... вместо да помоли жена си да си отвори устата и да й преброи зъбите. Пък и моите наблюдения са от няколко държави, от няколко града, от няколко хиляди души реално погледнато, а не от семействата на приятели.

Иначе хубаво, вярващ си, ама това е малко странна вяра. Като на Абелар, дето казвал, че някои работи са така според Църквата и иначе - според истината.

Не, боя се, че дотук не ме убеждаваш, че сама по себе си религията е свързана със социалната патология.

  • Потребител
Публикувано
Хммм, австрийците май не са от най-бедните... Техните работи по-скоро се развиват прилично. Иначе си прав за научната извадка и превъзходството й пред емпириката, само че каква наука без емпирика? Да не се върнем при Аристотел, дето казвал, че като разсъдим логически, стигаме до извода, че жената несъмнено има по-малко зъби от мъжа... вместо да помоли жена си да си отвори устата и да й преброи зъбите. Пък и моите наблюдения са от няколко държави, от няколко града, от няколко хиляди души реално погледнато, а не от семействата на приятели.

Иначе хубаво, вярващ си, ама това е малко странна вяра. Като на Абелар, дето казвал, че някои работи са така според Църквата и иначе - според истината.

Не, боя се, че дотук не ме убеждаваш, че сама по себе си религията е свързана със социалната патология.

Бедни не са, но са доста ниско по скалата на изселдването. Има по-добре от тях, не става въпрос само за бедност.

Изследванията които показвам пък аз, се отнасят за 17 държави с 500 милиона население. Аз бия.

и

Държавите с най-сериозни социални патологии са и най-религиозни. Това е видно от данните.

Ако пък включим и тези от третия свят, е тогава пък става наистина патологично.

  • Потребител
Публикувано

Гледай сега, ще трябва да го обясня по елементарно очевидно. Видно е, че най-добре са се развили нерелигиозните страни. Така. Най-развитите страни в света са нерелигиозни. Най-недоразвитите са религиозни.

Религията сама по себе си не поражда социални патологии. Те съществуват по начало, независимо от нея. При първите хора животът е бил достатъчно опасен, несигурен, мизерен и и тн. Това е зададено, още преди да има религия.

хората са се опитали да решат тези дефицити, проблеми в средата, да направят живота си по-сигурен, предвидим, лесен, приятен, чрез религия. Защо?

Ами защото е много по-лесно за първобитния да си измисли някакви богове и да ги моли, отколкото да развие наука и да си реши проблемите. така.

Следователно религията е инстумент, начин, първите хора да си решат проблемите.

Обаче

1. религията не е най-добрият начин да се решат тези проблеми. Т.е за всяко нещо, с което се занимава религията и се опитва да реши, има друг, много по-ефикасен начин за решение. Религията е най-лошото възможно решение за проблемите.

2. Религията през последните няколко хиляди години доказа, че е успяла да разреши проблемите, заради които хората са я измислили. Не е изкоренила бедността, не е намалила престъността, не е премахнала войните. Доказателство - тези проблеми са най-сериозни именно в религиозните държави.

3. Религията много активно пречи, стопира, приложението на по-добрите начини за решение на проблемите, като по този начин спомага да поддържането на социалните патологии.

Държавите, които успеят обаче да решат повечето си проблеми по другия начин, и достигнат определено ниво на развитие, при което патологиите са сведени до минимим, много бързо, почти светкавично, масово, и доброволно, се отказват от религиозността.

  • Глобален Модератор
Публикувано (edited)

Но ти просто повтаряш това, което статията казва....

Докажи го. Основната теза е чисто емпиричното наблюдение, че странИ с ниска религиозност (впрочем установено по съмнителен за мен начин) са преуспели. И такива с висока не са.

Оставя се настрани факта, че има религиозни и преуспели страни и че има нерелигиозни и пропаднали, в една такава например имаме честта да битуваме...

Когато се постави този въпрос, се променя критерия и се казва - да, ама религиозните са най-ненапреднали от напредналите - визирайки Гърция, САЩ, Полша и Ирландия.

САЩ е безспорният лидер на западния, а и целият свят след, а и преди втората св. война. Това лидерство се оспорва със неикономически показатели. Фактът, че паритетната покупателна способност на САЩ е най-висока в света се подминава като неотносим, а вместо това ни се предлага някаква смес от културологични показатели, която се опитва да ни докаже недоказуемто.

Същото важи и за Япония - страна на дълбоката традижия и на религия, която е толкова отворена към останалия свят, че не се забелязва... Всичко относно нея почива на изкривени факти.

Отделно оставяме многократно дъвканото от нас, че чисто историчесите факти опровергават твърдението, че то изобщо не е съобразено с историческата и социалноикономическата конкретика, че взима част от последната, а именно религията и я издига напълно неоснователно до някакъв основополагащ фактор.

Така статията и твърденията по нея манипулират, волно или неволно читателя, наричайки "социална патология" всичко. което не върви в едно общество, малко бил то или много. От друга страна, те загърбват истинската, реалната тежест на религията в отделните исторически периоди и съответно в един обобщен резултат а тя е следната - като една от социалните институции религията има положително, и отрицателно въздействие върху развитието на обществата, в зависимост от комплексни обществени фактори.

Да, фанатизмът води до закостенялост, но пък често вярата води до извисяване. Целият културен продукт на Западна Европа от края на Средновековието до буржоазните революции е основан на християнството.

Русия през 19 век създава ненадминати културни творби, основани също на дълбоката религиозност.

Никой не може да подминава такива обстоятелства и да твърди, че сериозно изследва историята или съвременността.

С две думи - ти и твоят приятел доктринерът Пол издигате частният случай в общо и невярно правило.

Това е класически пропаганден метод и аз бих препоръчал да го прецениш и в тази посока. Хърс е прав в едно мнение по-горе... Това е просто поредната атака върху западната културна и социалнопсихологическа традиция.

Редактирано от КГ125
  • Потребител
Публикувано
Но ти просто повтаряш това, което статията казва....

Докажи го. Основната теза е чисто емпиричното наблюдение, че странИ с ниска религиозност (впрочем установено по съмнителен за мен начин) са преуспели. И такива с висока не са.

Оставя се настрани факта, че има религиозни и преуспели страни и че има нерелигиозни и пропаднали, в една такава например имаме честта да битуваме...

Когато се постави този въпрос, се променя критерия и се казва - да, ама религиозните са най-ненапреднали от напредналите - визирайки Гърция, САЩ, Полша и Ирландия.

САЩ е безспорният лидер на западния, а и целият свят след, а и преди втората св. война. Това лидерство се оспорва със неикономически показатели. Фактът, че паритетната покупателна способност на САЩ е най-висока в света се подминава като неотносим, а вместо това ни се предлага някаква смес от културологични показатели, която се опитва да ни докаже недоказуемто.

Същото важи и за Япония - страна на дълбоката традижия и на религия, която е толкова отворена към останалия свят, че не се забелязва... Всичко относно нея почива на изкривени факти.

Отделно оставяме многократно дъвканото от нас, че чисто историчесите факти опровергават твърдението, че то изобщо не е съобразено с историческата и социалноикономическата конкретика, че взима част от последната, а именно религията и я издига напълно неоснователно до някакъв основополагащ фактор.

Така статията и твърденията по нея манипулират, волно или неволно читателя, наричайки "социална патология" всичко. което не върви в едно общество, малко бил то или много. От друга страна, те загърбват истинската, реалната тежест на религията в отделните исторически периоди и съответно в един обобщен резултат а тя е следната - като една от социалните институции религията има положително, и отрицателно въздействие върху развитието на обществата, в зависимост от комплексни обществени фактори.

Да, фанатизмът води до закостенялост, но пък често вярата води до извисяване. Целият културен продукт на Западна Европа от края на Средновековието до буржоазните революции е основан на християнството.

Русия през 19 век създава ненадминати културни творби, основани също на дълбоката религиозност.

Никой не може да подминава такива обстоятелства и да твърди, че сериозно изследва историята или съвременността.

С две думи - ти и твоят приятел доктринерът Пол издигате частният случай в общо и невярно правило.

Това е класически пропаганден метод и аз бих препоръчал да го прецениш и в тази посока. Хърс е прав в едно мнение по-горе... Това е просто поредната атака върху западната културна и социалнопсихологическа традиция.

Виж сега, САЩ нямат най-високият паритет по потр. търсене. САЩ имат най-висок коефициент на бедност сред 17-те изследвани държави. И тн.

Не искам да спорим за всеки един он 25 те показатели. Ще ти предложа заключението от анализа.

По съвкупната си стойност по скалата от 25 показатели, САЩ са на последно място от 17 изследвани страни.

По редица социални, и икономически показатели САЩ са на последно място от изледваните страни.

По обща оценка също.

Ако намериш друго комплексно социално-икономическо изследване, по което САЩ да са първи, представи го.

КГ, сто пъти ти се повтори, че Япония не е религиозна. Япония както и далечния изток са едни от най НЕРЕЛИГИОЗНИТЕ общества в света.

Виж таблиците. Няма нито един културолигичен показател. Използват се показатели като смъртност, продължителност на живота, коефициент на бедност, престъпност, детска смъртност, самоубийства, нива на образованост и тн. По повечето от тях САЩ са доста назад.

  • Потребител
Публикувано

Не знам дали разбираш какво ти казвам.

Взимаш 20-30 класически социално-икономически показатели, и правиш средна оценка.

Нерелигиозните държави винаги изпреварват религиозните. Колкото и да не ти харесва.

Или представи данни, че по комплексно социално-икономическо развитие, демек не по един показател, а по 20-30, религиозните старни са по-добре от нерелигиозните.

Давай.

Ето ти един съвсем елементарен пример, който не можеш да преглътнеш. когато Европа е била религиозна животът е бил много по-суров и тежък от сега, когато Европа не е религиозна.

Искам данни. Не общи приказки. На ниво общество култура не е да имаш дворци и картини, а образовано население, което да ги оцени.

Ето ти данни -

По общата сумарна оценка по скала от 25 социално-икономически показатели, САЩ са на последно място сред 17 богати държави, със обща стойност 2.9 от 10. На първо е Швеция с над 9.

От 25 социално-икономически и екологични индикатора, най-религиозната и прокреационистки настроена западна нация – САЩ – се представя най-зле по 16 от тях, като има огромна разлика по 8 от тях, средно в 4, добре или много добре в 4 и най-добре в 1. По точно, САЩ се проявяват като най-социално патологично и дисфункционално общество по нива на убийства, затворници, детска смъртност, инфекции от гонорея и сифилис, бременност сред непълнолетни, продължителност на брака, коефициент на Джини, бедност, продължителност на работното време и прахосничество на ресурси. Нивата на относителна и абсолютна социална патология в САЩ често са толкова високи, че те постоянно са първенец по редица социални патологии, което подсилва корелацията между лошото качество на социално-икономическите условия и нивата на религиозност.

Тъй като САЩ се предстваят толкова зле в редица аспекти, тяхната кумулативна оценка по скалата SSS (Successful Societies Scale) е изкючително ниска 2.9 (фиг. 1). Това ги определя като абсолютен първенец по социална дисфункция и патология в сравнение с която и да е друга западна демокрация в извадката, в степен, че някои автори ги определят като “болни” (Sapolsky, 2005, Wilkinson, 2005). САЩ се представят толкова зле, дори когато има висока оценка по фактори, които са вкюлчени, макар и тяхната способност да пораждат социална дисфункция е съмнителна, като раждаемост и брак.

данни дай, данни. не клишета и голи приказки

Ето ти корелациите между всякакви социални патологии и нива на религиозност:

ДАй сега да видим твойте данни.

post-1993-1261421848_thumb.jpg

  • Глобален Модератор
Публикувано

Животът в старите епохи е бил тежък и при религиозни и при атеисти, и при всякакви.

Животът в най-атеистичните, комунистически общества, беше по-тежък от този в буржоазните и религиозни общества.

Има толкова много факти, опровергаващи тезата, че повече не може да бъде!

Напиши мнение

Може да публикувате сега и да се регистрирате по-късно. Ако вече имате акаунт, влезте от ТУК , за да публикувате.

Guest
Напиши ново мнение...

×   Pasted as rich text.   Paste as plain text instead

  Only 75 emoji are allowed.

×   Your link has been automatically embedded.   Display as a link instead

×   Вашето предишно съдържание е възстановено.   Изчистване на редактора

×   You cannot paste images directly. Upload or insert images from URL.

Зареждане...

За нас

"Форум Наука" е онлайн и поддържа научни, исторически и любопитни дискусии с учени, експерти, любители, учители и ученици.

За своята близо двайсет годишна история "Форум Наука" се утвърди като мост между тези, които знаят и тези, които искат да знаят. Всеки ден тук влизат хиляди, които търсят своя отговор.  Форумът е богат да информация и безкрайни дискусии по различни въпроси.

Подкрепи съществуването на форумa - направи дарение:

Дари

 

 

За контакти:

×
×
  • Create New...
/* Revenue-Ads-Footer */ /* За дарение */
×

Подкрепи форума!

Дори малко дарение от 5-10 лева от всеки, който намира форума за полезен, би направило огромна разлика. Това не е просто финансова подкрепа - това е вашият начин да кажете "Да, този форум е важен за мен и искам да продължи да съществува". Заедно можем да осигурим бъдещето на това специално място за споделяне на научни знания и идеи.