Забелязахме, че използвате Ad Blocker

Разбираме желанието ви за по-добро потребителско изживяване, но рекламите помагат за поддържането на форума.

Имате два варианта:
1. Регистрирайте се безплатно и разглеждайте форума без реклами
2. Изключете Ad Blocker-а за този сайт:
    • Кликнете върху иконата на Ad Blocker в браузъра
    • Изберете "Pause" или "Disable" за този сайт

Регистрирайте се или обновете страницата след изключване на Ad Blocker

Отиди на
Форум "Наука"

Препръчано мнение

  • Потребител
Публикувано (edited)

За тези, които тепърва се включват в темата, ще направя едно обобщение на най-последните коментари.

След откриването на реликтовото излъчване през 1964г, досега е имало три спътникови мисии за неговото картографиране.
Процесът на картографиране се състои в това да се измерят интензитета и честотата на това излъчване в 360°/3D.

И трите мисии за картографиране на реликтовото излъчване откриват така наречената диполна анизотропия в излъчването.
Тази анизотропия е причинена от движението на спътниците през космоса и предстявлява доплерово-изместената честота на излъчването в права и обратна посока на движението.

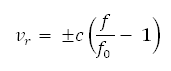
Както бе показано в предишен коментар, диполната анизотропия ни позволява да намерим скоростта, с която спътниците се движат през космоса.
За тази скорост получаваме:
doppler3.png.09d8758a79d72d3e4c18ca996df04474.png
Където:
с - скоростта на светлината
f0 - честотата на реликтовото излъчване
f - измерената отместена честота; тоест, диполната анизотропия

Както се вижда от формулата, скоростта на спътниците  vr е независима от отправна система (по подобие на скоростта на светлината).

Това е проблем за СТО, защото движението в СТО е стриктно относително и следователно ние сме задължени да изберем отправна система.
В случая, обаче, движението на спътниците не е спрямо друго тяло.
Така че ние нямаме реална отправна система, с която да обясним техните измервания.
За СТО "движение през космоса" е безсмислено понятие, защото космосът не е валидна отправна система.
А след като нямаме такава, ние сме принудени да изфабрикуваме някаква фиктивна/измислена отправна система.
Това на свой ред илюстрира неадекватността на СТО да обясни по смислен начин измерванията на спътниците.

За класическата физика, от друга страна, движението на спътниците "през космоса"  не представлява никакъв проблем.
Освен относително движение (което изисква отправна точка), в класическата физика съществува и абсолютно движение.
Абсолютното движение на едно тяло е неговато движение в абсолютното пространство на космоса.
Съответно абсолютната скорост на тялото е скоростта му в абсолютното пространство.
За тази скорост не се изисква отправна точка. По подразбиране, това е скоростта на тялото в космоса.

При това положение става ясно, че моделът за абсолютно движение на класичекста физика пасва като ръкавица на ситуацията със спътниците.
Измерената от спътниците скорост е скоростта на спътниците във вакуума на космоса (а не спрямо него) - и това напълно отговаря на реалността на тяхното движение.

Ако си представим, например, че пътуваме в космоса (а не спрямо него), нас би ни интересувало дали вървим "напред" и с каква скорост.
Точно това е информацията, която ни дават измерванията на спътниците ... без никакви допълнителни допускания:

stars1.thumb.jpg.2e01dbd04bf6ae2d07d46606ebc5dc77.jpg


Тук е мястото да се отбележи, че СТО е тази, която въвежда задължителното изискване за отправна точка на движението.
Преди това движението не се е смятало за стриктно относително.

СТО въвежда стриктната относителност на движенето въз основа на " неуспешните опити да се открие каквото и да е движение на земята" в космоса. Както показват спътниците, обаче, това движение е напълно откриваемо.

Така че относителността на движението, която ни е втълпена като даденост, в същност се базира на едно погрешно допускане на СТО.
А това допускане на свой ред произхожда от погрешното тълкувание на "нулевия" резултат от известния опит на Майкелсън и Морли от 1887г (началото на тази тема).

Редактирано от gmladenov
  • Мнения 3,2k
  • Създадено
  • Последно мнение

ПОТРЕБИТЕЛИ С НАЙ-МНОГО ОТГОВОРИ

ПОТРЕБИТЕЛИ С НАЙ-МНОГО ОТГОВОРИ

Posted Images

  • Глобален Модератор
Публикувано (edited)
Преди 8 часа, gmladenov said:

А  според твоите изкривени и тенденциозни представи, спътниците измерват движението си спрямо първичната плазма от преди 13.8 млрд години.

Спътниците при доплеров ефект измерват движението на източника спрямо тях. Велико ваше просветление е,  че източик на реликтовото лъчение е първичната плазма преди 13.8 млрд. години. Направо открихте топлата вода и киселото мляко, и отворихте очите на науката за този факт :D

Редактирано от scaner
  • Глобален Модератор
Публикувано
Преди 6 часа, gmladenov said:

Както бе показано в предишен коментар, диполната анизотропия ни позволява да намерим скоростта, с която спътниците се движат през космоса.

Отново латерната зацикли.

Всяка скорост е свързана с промяна на разстояие до материален обект/състема, и винаги трябва да може да се укаже този обект. Космосът не е такъв обект (и в нашият случай не е източик на лъчение), и празните приказки "скорост на движение през космоса" не носят смисъл. А по-нататъшните разсъждения на база лишеното от смисъл нямат общо дори с наука,та а са само психиатричен феномен. Но някои глави са закостенели непоправимо в още начален стадии и ни приемат, ни предават.

Публикувано

Добро утро.
Показаният ни факт за реликтовото лъчение от Младенов е най значимото , по скоро най забележимото доказателство за погрешност, невярност в Т.О.
 Много му е дълбоко значението, обясних как. Първо наистина дава основа да се твърди че всички движения са определени, и всички скорости са относно нещо близко като това което той смята- Вакуум. Всъщност е Системата Космос или някакъв огромен дял от него. В тази система, определя се от цялата материя в която разбира се е включен и теоретичния Вакуум.
Второ, този <Вакуум> определя, дефинира поне в голяма степен скорост , по посока и стойност на светлина и всички материални обекти, контролира стойност константа <С> и маса, от тук и интенз. <излъчване> на гравитация, получава се така, че самата гравитация участва в контрола на себе си, което определено е с мноого дълбоко значение, т. е. за образност, води до мисли за <взрив> промяна от <вътрешни свободи на промяна в материя> към <външни> , наподобява;о бъдеще на полеви МегаКосмос  с многобройни нови Светове, кой да знае.
Този <Вакуум> към него с лекота теоретично можем да прикачим Отпр. система или ИОС Космос, или <Вакуум> , в и според която са всички <вътрешни простр. движения> .
Най важното което изисква радикална реорганизация или замяна на ТО е това , че в тази ИОС Космос м,атер. процеси в системите, за тези обекти неподвижни спрямо Космос са с най-висок темп, <скорост>, т.е. изисква ползването , както курифеите харесват да казват, <нова парадигма> т.е. една Нова Т.О.

  • Глобален Модератор
Публикувано
Преди 6 часа, gmladenov said:

За класическата физика, от друга страна, движението на спътниците "през космоса"  не представлява никакъв проблем.
Освен относително движение (което изисква отправна точка), в класическата физика съществува и абсолютно движение.

Абсолютното движение не се описва от класическата физика. В нито една формула, на база които се основават измерванията на физически величини, не фигурира абсолютна скорост. Следователно, такава скорост принципно не може да бъде измерена. А на който толкова му се струва, че била измерена, трябва да потърси съответното лечение докато не е станало късно.

  • Глобален Модератор
Публикувано
Преди 4 минути, laplandetza said:

Показаният ни факт за реликтовото лъчение от Младенов е най значимото , по скоро най забележимото доказателство за погрешност, невярност в Т.О.

Да бе да, той е значим факт и за съществуването на сините еднорози, както и за царството на Феята на зъбчетата.  А най-вече е факт, че за хора напълно невежи в някаква област вярата в собствената им правота се превръща в кауза за самосъхранение, независимо от количеството произнесени глупости.

  • Потребител
Публикувано

Добре де @gmladenov, не ти ли се струва поне малко странно, че твърдението ти, че теорията на относителноста е погрешна се крепи на това, че в продължение на повече от сто години на физици не им е направило впечетление, че земята има атмосфера. И от последните няколко поста и на това, че няма такова нещо като относително движение.

  • Потребител
Публикувано (edited)

@Gravity Да, много е странна цялата история. Имай предвид следното, обаче.

Спътниците за картографиране на космическия фон са първото истинско доказателство, че скоростта на светлината не е еднаква за всички.
Без това доказателство дори някой да се усети за атмосферата, той пак не може да е сигурен, че вторият постулат на СТО е грешен.
Първият спътник, който измерва космическия фон, е COBE от 1989г, така че сигурни доказателства за грешността на СТО съществуват от 30 години.
Но освен мен колко други си виждал да оборват СТО въз основа на измерванията на спътниците?

Погледни и колегата Сканер, който се представя за физик и ако не друго явно е доста начетен.
Той не вижда никаъв проблем нито с атмосферата, нито със спътниците.
Спорил съм и с други, които се представят за физици, и с тях е същото.

Така че доказателствата ги има (и то най-реални, не измислени), но не се отчитат/признават.
Нямам идея защо е така.

И само да уточня: аз не съм казвал, че относително движение няма.
Но идеята, че наблюдателите не знаят дали се движат или не, не е реалистична. Това показват и спътниците.
Иначе относително движение естествено че има; нали затова имаме Галилеева относителност.

Редактирано от gmladenov
  • Глобален Модератор
Публикувано (edited)
Преди 59 минути, gmladenov said:

Спътниците за картографиране на космическия фон са първото истинско доказателство, че скоростта на светлината не е еднаква за всички.
Без това доказателство дори някой да се усети за атмосферата, той пак не може да е сигурен, че вторият постулат на СТО е грешен.
Първият спътник, който измерва космическия фон, е COBE от 1989г, така че сигурни доказателства за грешността на СТО съществуват от 30 години.
Но освен мен колко други си виждал да оборват СТО въз основа на измерванията на спътниците?

На мен ми е любопитно, още колко време ще му трябва на факта, че спътниците не измерват скорост на светлината и няма как  да се обоснове вашето "заключение", да достигне до центровете, които вършат мисловната дейност? Вече повече от две седмици пътува...

Дали може да се замислите, че дори да приемем вакуума като среда (само за демонстрация), то във формулата за доплеровият ефект която сам написахте, скоростта на светлината е константа? Е като е константа, как стигнахте до такива безумни халюцинации като подчертаното по-горе в цитата?

Цитирай

Погледни и колегата Сканер, който се представя за физик и ако не друго явно е доста начетен.
Той не вижда никаъв проблем нито с атмосферата, нито със спътниците.
Спорил съм и с други, които се представят за физици, и с тях е същото.

Пробемът ви, както вече казах и преди е, че само спорите, без да слушате какво ви обясняват другите, без да прочетете главите от физиката към които ви препращат и които не познавате, без да осмислите слабите места на аргументитее ви, които ви показват.. Ми със всички ще е така, мога спокойно да предскажа бъдещето.

Любопитно ми е, толкова ли е трудно да се приложат елементарни познания по оптика и да се използва коефициента на пречупване, за да се елиминира ролята на въздуха? Сигурен съм, че и другите физици си задават същите въпроси по отношение на вас. И те, и аз виждаме само едно лутане без никакъв опит за разбиране - само повтаряне "има грешка, има грешка...", без опит да се разбере че грешка няма. А нещата са толкова прости и очевидни...

 

Ето тук малък списък от статии, които доказват изотропията на скоростта на светлината с достатъчна точност, че да се отхвърли вакуумът като някаква среда, влияеща на скоростта на светлината:

Turner and Hill, Physical Review 134 (1964), B252.
(резултатът им ограничава анизотропията на скоростта на светлината под 10 м/с);

Isaak et al., Physics Bulletin 21 (1970), pg 255.
(резултатът им ограничава анизотропията под 3 м/с)

Krisher et al., Physical Review D, 42, No. 2, pg 731–734, (1990).
(ползват водородни мазери, анизотропията е под 100 м/с)

Cialdea, Lett. Nuovo Cimento 4 (1972), pg 821
(ползват лазери, анизотропията е под 0.9 м/с)

T.W. Cole, “Astronomical Tests for the Presence of an Ether”, (Monthly Notices of the Royal Astronomical Society) (1976), 175 93P-96P.
(ползва VLBI интерферометъра за наблюдения в рамките на слънчевата система, анизотропия под 70 м/с)
(този експеримент директно отхвърля диполната анизотропия на реликтовото лъчение като следствие от някаква среда и абсолютно движение);

Ragulsky, “Determination of light velocity dependence on direction of propagation”, Physical Letters A, 235 (1997), pg 125.
(определя праг на анизотропията под 0.13 м/с)

 

Всичко това еднозначно показва, че вакуумът не може да бъде среда, която да влияе на скоростта на светлината. Трябва да си измислите друга интерпретация за диполната анизотропия на реликтовото лъчение, защото тя е свързана само с реликтовото лъчение (а не със светлината изобщо, както сочат и горните експерименти) и очевадно засяга само него и неговите източници.

Редактирано от scaner
Публикувано
Преди 18 минути, scaner said:

....

 

Всичко това еднозначно показва, че вакуумът не може да бъде среда, която да влияе на скоростта на светлината. Трябва да си измислите друга интерпретация за диполната анизотропия на реликтовото лъчение, защото тя е свързана само с реликтовото лъчение (а не със светлината изобщо, както сочат и горните експерименти) и очевадно засяга само него и неговите източници.

Hahah , разсмя ме, защото горе си прав. Още колко време мисълта му ще пътува за да осъзнае колко и за къде точно Сериозно нещо изкара на бял свят.

      Вакумът не е среда за светлина, нито Етерия или Космос е среда, от типа на Етер, НО Етерия е като приличаща на среда от тип подобен на Пространство/Време. Доказах , че Етерия не само влие на Светлина , тя буквално я Определя, Определя Съществуването и . Без целият механизъм за Гравитация , няма Светлина, тя няма да има смисъл, като енергосъдържаща и импулсоносеща, не и в смисъла на нашия Космос. Ако Младенов разшири Своят Вакуум и постави заедно с него поне цялата знайна и незнайна Машинария на Гравитация, тогава Сканер, ти грешиш. Обаче как Младенов ще ни покаже променлива <С> при  Фиксирано Състояние на Етерия или ако ползва Разширения Вакуум и как ще <елиминира> относителност......., Не виждам такава възможност, ако успее .......... Ще е Бог!

  • Потребител
Публикувано (edited)

^^ Точно за това говоря.

Измерванията на спътниците противоречат на основополагащото допускане на СТО, че движението на земята в космоса е неоткриваемо.
Противоречат и на втория постулат на СТО.

Но колегата Сканер е убеден, че аз не знам какви ги говоря и не иска и да чуе.
Как да се учудваме тогава, че СТО не е "официално" оборена вече 100+ години.

:av:

Редактирано от gmladenov
  • Глобален Модератор
Публикувано
Преди 5 минути, gmladenov said:

Измерванията на спътниците противоречат на основополагащото допускане на СТО, че движението на земята в космоса е неоткриваемо.
Противоречат и на втория постулат на СТО.

Няма такова допускане на СТО. Пак разобличавате обърканите си представи. Дори формулировката ви куца - "движение в космоса" СТО не може да си позволи да формулира, защото класическата физика която тя наследява, не допуска такава неяснота. Винаги има движение спрямо нещо, друг е въпросът какво е то. За Нютон това е било абсолютното пространство, спътниците нямат нищо общо с него..

Първият постулат на СТО: законите на физиката имат еднаква форма във всички инерциални системи.

Това с "неоткривамото движение" има отношение само за формата на физическите закони. А в случая този постулат не се нарушава по никакъв начин.

Още повече, че много повече и много по-точни експерименти са извършени за търсене на такова движение (списъкът по-горе) и не са намерили абсолютно нищо. Така че измерването на спътника открива нещо дриго, не противоречи на СТО по никакъв начин.

Затова и повтарям - мислете, слушайте какво ви се обяснява и мислете в посока за/против тези аргументи, а не се дръжте като кон с капаци, повтаряйки едно и съо без смисъл. Няма смисъл, фактите ви опровергават безусловно. И да застанете с гръб към тях, те си остават факти.

Цитирай

Но колегата Сканер е убеден, че аз не знам какви ги говоря.

Абсолютно. И за разлика от вас аз се аргументирам с факти, а не с халюцинации, повтаряни без замисляне.

За какво не се замисляте:

- че спътниците мерят относителна скорост спрямо източника на лъчението (това е доплеровият ефект);

- че спътниците не мерят скоростта на светлината;

- че скоростта която определят спътниците няма никакво основание да се нарече "скорост през космоса" - това е  опит за някаква белетристика;

- че знаейки резултатите във въздух, елементарно можем да елиминираме неговото влияние, изчислявайки резултатите във вакуума (косвено измерване);

- че практически всички революцинни открития са били в началото гениални хрумвания, които после са били разработени до стройни модели, технологии и устройства;

- че с това си истерично поведение само задръствате темата със спам;

и още много неща, дето няма да му стигне на интернета мястото да ги побере.

  • Потребител
Публикувано
Преди 2 часа, scaner said:
Цитирай

Но колегата Сканер е убеден, че аз не знам какви ги говоря.

Абсолютно.

А тази предубеденост и предрасъдък ти пречат да вникнеш в това, което казвам.

  • Потребител
Публикувано
Преди 2 часа, scaner said:

За какво не се замисляте:
- че спътниците мерят относителна скорост спрямо източника на лъчението (това е доплеровият ефект);

Спътниците мерят интензитета и честотата на реликтовото излъчване ... във вакуума на пространството.

СТО има сбъркан модел на дейсвтителността и не моделира тази ситуация правилно.
А тъй като ти следваш модела на СТО, за теб също тази ситуация няма смисъл.

Ще направя едно по-подробно описание, но затова ще ми трябва време.
В момента го нямам това време.

  • Глобален Модератор
Публикувано
Преди 13 минути, gmladenov said:

А тази предубеденост и предрасъдък ти пречат да вникнеш в това, което казвам.

Напротив, това е есенцията от поведението ви до сега. Прото не е нужно да се повтарям в подробности.

Цитирай

СТО има сбъркан модел на дейсвтителността и не моделира тази ситуация правилно.
А тъй като ти следваш модела на СТО, за теб също тази ситуация няма смисъл.

Чисто класически модел следвам - нали класическата физика е валидна в системата на спътника? Защо все ми приписвате измислени действия? Това е, защото, както казах, не вниквате в моите аргументи, зает сте да повтаряте вашите.

Публикувано
Преди 3 часа, scaner said:

........

- че спътниците мерят относителна скорост спрямо източника на лъчението (това е доплеровият ефект);

- че спътниците не мерят скоростта на светлината;

- че скоростта която определят спътниците няма никакво основание да се нарече "скорост през космоса" - това е  опит за някаква белетристика;

- че знаейки резултатите във въздух, елементарно можем да елиминираме неговото влияние, изчислявайки резултатите във вакуума (косвено измерване);

- че практически всички революцинни открития са били в началото гениални хрумвания, които после са били разработени до стройни модели, технологии и устройства;

.......

В случая с реликтовото лъчение, имате късмета да е сравнително еднородно, инак ако беще излъчвано от такива по брой източници като реликтовото , но с разнородни честоти и скорости, какво щеше да измери  като разлики в направленията, а Сканер, щеше да измери , но какво. 

Да се върнем към реликт. лъчение, мерят спътниците но според Кой източник, кой е този източник, да не би да е бил Той, но по млад с няколко милиарда години......

 Скорост през Космоса, не идеално точно, много близка до скорост през Етерия, на практика скорост през ИОС Етерия,Космос.

  Така де за откритията, Младенов пробва, лошо ли е да <търкаш таквиз билетчета>, аз го правя ежеседмично.

Публикувано

Младенов , класическия модел няма да те заведе към успех.Айнщайн е проправил пътя , НО е объркал нещата още в основите, мисли с неговите идеи по нов прочит, така както го подхвана с лъчението и вакуума........, без да отхвърляш относителност и преди да рипаш по разширения втори постулат, т.е. първи и втори и защо Всички мерят <С> помисли защо се получава така съобразявайки с Специалната ти Космическа система Вакуум.

  • Потребител
Публикувано (edited)
Преди 43 минути, scaner said:

Чисто класически модел следвам - нали класическата физика е валидна в системата на спътника?

Как следваш класическия модел, ако не признаваш вакуума за отправна система?
СТО не го признава, но според класическата физика той е валидна отправна система.

И нещо друго: ако етърът някога е бил абсолютната отправна система, защо вакуумът на пространството да не заеме същата тази роля?
Какво му пречи?

Говорим за класическа физика, не за СТО.

Редактирано от gmladenov
Публикувано
Just now, gmladenov said:

Ще се пробвам, пък да видим докъде ще го докарам ;).

Младенов, как ще съчетаеш модел на квантов вакуум с физика на Нютон, невъзможна работа ми се струва. Обаче да речем , твоят вакуумне били бил неделима част от материята в Космос, цялата , ако е тка, то всички форми на материя, за по просто, кондензирана материя , та тези всички биха ти задали , фиксирали системата на вакуум. писал съм как може. 

  • Глобален Модератор
Публикувано
Преди 5 минути, gmladenov said:

Как следваш класическия модел, ако не признаваш вакуума за отправна система?
СТО не го признава, но според класическата физика той е валидна отправна система.

И класическата физика не признава вакуума за отправна система. Вакуумът няма никакви характеристики на отправна системаа и не може да бъде такава. Отправна система може да има само свързана с материя, и то не със всяка нейна форма. Или с абсолютното пространство, каквото и да значи това. Защото Нютон говори и за "относително пространство" (relative space), и изгражда цялата физика количествено за него. Така че ако ще мерим количествени резултати, вакуумът не върши работа за отправна система - докато не се докаже, че притежава нужните материални качества за такава. А вие предполагайки тези качества без никаква основа, влизате в petitio principii. Който и учебник да отворите по класическа физика, никъде не се разглежда отправна система свързана с вакуума. Така я е създал Нютон. За да я разглеждате, първо трябва да докажете е може да бъде изградена. А само с предположения това не може да стане.

Цитирай

И нещо друго: ако етърът някога е бил абсолютната отправна система, защо вакуумът на пространството да не заеме същата тази роля?
Какво му пречи?

Етерът никога не е бил абсолютна отправна система,. Той просто е бил по предположение някаква форма на материята, запълваща цялото пространство.  Първичната хипотеза е била, че той е неподвижен в пространството (но не и неподвижен спрямо абсолютното пространство, него никой не е използвал след Нютон, а частите му са взаимонеподвижни). Но по-нататък рулетката се завърта, и той не само че не е неподвижен и се увлича, ами придобива взаимоизключващи се свойства.

Но разликата му с вакуума е била, че той е преносна среда за светлината, не оптическа. Като преносна среда той е задавал нейната скорост, останалите среди през които етерът тече само са я променяли в зависимост от оптическите си свойства. По тази причинаа етерът е имал възможност да бъде подвижен спрямо вакуума, и това е търсел опитът на ММ.

  • Потребител
Публикувано (edited)
Преди 19 минути, scaner said:

Етерът никога не е бил абсолютна отправна система,.

Е ти се изказа сега. Ще цитирам на английски, но ако трябва и ще преведа:

  • As Max Born later said, it was natural (though not logically necessary) for scientists of that time to identify the rest frame of the Lorentz aether with the absolute space of Isaac Newton.

Тоест, физиците на времето са отъждествявали Лоренцовия етър с абсолютното простарнство на Нютон.

 

Цитирай

Но разликата му с вакуума е била, че той е преносна среда за светлината, не оптическа. Като преносна среда той е задавал нейната скорост, останалите среди през които етерът тече само са я променяли в зависимост от оптическите си свойства.

За целите на отправна система, има ли разлика между преносна и оптическа среда?

Редактирано от gmladenov
  • Глобален Модератор
Публикувано
Преди 2 минути, gmladenov said:

Ще цитирам на английски, но ако трябва и ще преведа:

Това е само един от моделите. Има модел на Френел, модел на Стокс, тук се говори за модел на Лоренц, на още куп хора, в тях етера си има специифично поведение и качества и няма как да бъде абсолютна отправна система. По простата причина, че той е материална среда със свое поведение, която не е в твърда връзка с абсолютното пространство.

Цитирай

За целите на отправна система, има ли разлика между преносна и оптическа среда?

За целите на отправната система няма разлика.

Но конкретно за вакуума, той не е нито преносна среда (не задава скоростта на светлината), нито оптическа (не въздействва върху нея).  Просто вакуумът няма качества за отправна система. Липсва му  мястото в което можете да забиете гвоздей, с който да отбележите началото на координатната система.

  • Потребител
Публикувано
Преди 1 минута, scaner said:

Но конкретно за вакуума, той не е нито преносна среда (не задава скоростта на светлината), нито оптическа (не въздействва върху нея).  Просто вакуумът няма качества за отправна система. Липсва му  мястото в което можете да забиете гвоздей, с който да отбележите началото на координатната система.

Добре де, а в абсолютното пространство на Нютон можеш ли да забиеш гвоздей?

Публикувано
Преди 8 минути, scaner said:

....Липсва му  мястото в което можете да забиете гвоздей, с който да отбележите началото на координатната система.

Абе ти си падаш по гвоздеи, наостряш веждите. 

Защо да забива някой гвоздей, защо ви е само една точка.  Теоретична система Космос, или , тъйкато съвпада с вакуум, т.е. общият електр.магн. фон  е в тази <среда> съвсем си е възможна, като има възможност примерно с реликт. лъчение, той се разпростр. в ИОС Космос, Етерия.

Напиши мнение

Може да публикувате сега и да се регистрирате по-късно. Ако вече имате акаунт, влезте от ТУК , за да публикувате.

Guest
Напиши ново мнение...

×   Pasted as rich text.   Paste as plain text instead

  Only 75 emoji are allowed.

×   Your link has been automatically embedded.   Display as a link instead

×   Вашето предишно съдържание е възстановено.   Изчистване на редактора

×   You cannot paste images directly. Upload or insert images from URL.

Зареждане...

За нас

"Форум Наука" е онлайн и поддържа научни, исторически и любопитни дискусии с учени, експерти, любители, учители и ученици.

За своята близо двайсет годишна история "Форум Наука" се утвърди като мост между тези, които знаят и тези, които искат да знаят. Всеки ден тук влизат хиляди, които търсят своя отговор.  Форумът е богат да информация и безкрайни дискусии по различни въпроси.

Подкрепи съществуването на форумa - направи дарение:

Дари

 

 

За контакти:

×
×
  • Create New...
/* Revenue-Ads-Footer */ /* За дарение */
×

Подкрепи форума!

Дори малко дарение от 5-10 лева от всеки, който намира форума за полезен, би направило огромна разлика. Това не е просто финансова подкрепа - това е вашият начин да кажете "Да, този форум е важен за мен и искам да продължи да съществува". Заедно можем да осигурим бъдещето на това специално място за споделяне на научни знания и идеи.