Забелязахме, че използвате Ad Blocker

Разбираме желанието ви за по-добро потребителско изживяване, но рекламите помагат за поддържането на форума.

Имате два варианта:
1. Регистрирайте се безплатно и разглеждайте форума без реклами
2. Изключете Ad Blocker-а за този сайт:
    • Кликнете върху иконата на Ad Blocker в браузъра
    • Изберете "Pause" или "Disable" за този сайт

Регистрирайте се или обновете страницата след изключване на Ad Blocker

Отиди на
Форум "Наука"

Препръчано мнение

  • Глобален Модератор
Публикувано

Е, поне всички казват, че експеримента се поставя, за да се види, дали предсказаното по вълновата функция (не забравяме, че са вълни на вероятности и само локализиран вълнов пакет има физически смисъл, т.е. смесена вълна се "гледа") отговаря на действителността - такава, каквато си мислят, че е!

Оказва се, че не е такава предполагаемата действителност и затова, в него постинг, съм коментирал по-нататък за собствени свойства и свойства привнесени с експерименталната установка. Не се е очаквало, че има такава "привнесеност" (или намесата в опита не е била толкова очевидна, поради липса на изначална същност) и затова обясненията-тълкуванията се разминават с действителността.

Преди ви питах да укажете конкретни разминавания с експеримента - никакъв отговор. Сега пак ви питам - каква е (и според кого) предполагаемата действителност, и по какво тя се различава от предсказаното по вълновата функция? За какво разминаване с действителността говорите?

  • Мнения 291
  • Създадено
  • Последно мнение

ПОТРЕБИТЕЛИ С НАЙ-МНОГО ОТГОВОРИ

ПОТРЕБИТЕЛИ С НАЙ-МНОГО ОТГОВОРИ

Posted Images

  • Потребител
Публикувано

......

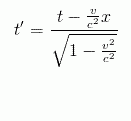
Ако премахнем едното огледало не само СЛЕД като частицата се е отразила в него, но и точно В МОМЕНТА, в който тя попадне върху екрана, ще имаме в тази система две едновременни събития.

В друга система обаче същите тези събития няма да са едновременни.....

Здравей, Шпага,

Надявам се, че нямате нищо против да се намеся, според мен събитията ще са едновременни във всички ОС, защото стават на едно и също място - координата х. Това се вижда от Лоренцовите преобразувания на времето. Едновременността се нарушава само за събития, които са с различни координати.post-5781-084606000 1301304339_thumb.gif

Ако t1-t2=0, то и t'1-t'2=0

  • Глобален Модератор
Публикувано (edited)

***

Изводът е, че има определени съотношения между характерните моменти в експеримента, които ако не се спазят, то няма да има предсказаният резултат. Зад обосновката на такива експерименти стоят сложни изчисления, които, сигурен съм, биха отчели тези ограничения върху експеримента. Самият аз не съм запознат с конкретната теория, така че не мога в детайли да защитя СТО в конкретната ситуация.

Предлагам ви една книга, в която атомистичното схващане предоставя естествено обединение между квантовата механика и теорията на относителността.

Теорията на относителността и квантадействие (4 атомизъм)

579.jpg

* * *

Статията е публикувана в списание Светът на физиката брой 1 от 2010 - издание на Институтът за ядрени изследвания и ядрена енергетика (ИЯИЯЕ) при Българската академия на науките (БАН)

Коментира книгата Анастас Анастасов.

РАЗБИРАЕМ ЛИ Е КВАНТОВИЯТ СВЯТ? А. Стефанов

* * *

4-атомистичното схващане предоставя естествено обединение между квантовата механика и теорията на относителността

Идейното съвместяване на квантовата механика и теорията на относителността – специална и обща – се посочва като проблем пред съвременната теоретична физика. Нямам предвид, естествено, отдавна постигнатото обединение на квантовата механика със специалната теория на относителността, в резултат на което бе създадена квантовата теория на полето. Трудности се появяват, от една страна, с интерпретирането на някои чисто квантови ефекти, като редукцията на вектора на състоянието на една квантова система от гледна точка на принципа за релативистката причинност (инвариантност) (вж. т.3), и от друга, при опитите за обединение на квантовата механика и общата теория на относителността с оглед създаването на обединена теория на четирите природни взаимодействия.

* * *

Искрено се надявам 4 атомизмът на Анастас Анастасов да отговори на някои от поставените в настоящата тема въпроси.:)

С пожелания за успешна нова седмица ... поздрави Б.Б.

Редактирано от Б.Богданов
  • Глобален Модератор
Публикувано

Здравейте г-н Богданов!

Мои колеги ме насочиха към електронната версия на книгата на г-н Анастасов Анастасов А.Хр. Теорията на относителността и кванта действие (4-атомизъм). Разполагам със сигурна информация, че авторът е дал благословията си електронната версия да се разпространява свободно в мрежата, тъй като изданието е отдавна изчерпано и е в малък тираж.

Моят коментар беше свързан не толкова с някаква интерпретация на квантовият модел (каквато се разглежда в тази книга), а с непознаване от моя страна на конкретната математическа обосновка на експериментите с отложен избор, в която по необходимост (квантовата механика се основава на СТО) проблемите с едновременността само трябва да налагат някакви ограничения над геометрията на експеримента, и толкоз. Идеята и обосновката на тези експерименти без никакви проблеми произтичат от квантовата механика. Колкото до наличието (или липсата) на разбираем конкретен класикоподобен (ако мога така да се изразя) механизъм, тук е мястото на интерпретациите и тяхната проверка.

За Дорис: Шпага правилно е отбелязала, че двете събития не са на едно място, и за това се проявява проблемът с едновременността им. Екранът на който се отчита интерференцията е отдалечен от огледалото от което се отразява фотонът, затова събитията свързани с екрана и огледалото попадат под относителността на едновременността според Айнщайн. Затова вашата забележка не разрешава проблемът. Но пак се извинявам, използуването на интерферометъра на Майкелсън не е характерната постановка в която се демонстрира отложеният избор, и може да доведе до по-голямо объркване, както и изисква повече обяснения от постановката за която е формулиран експериментът според Уилър.

  • Потребител
Публикувано

................

За Дорис: Шпага правилно е отбелязала, че двете събития не са на едно място, и за това се проявява проблемът с едновременността им. Екранът на който се отчита интерференцията е отдалечен от огледалото от което се отразява фотонът, затова събитията свързани с екрана и огледалото попадат под относителността на едновременността според Айнщайн. Затова вашата забележка не разрешава проблемът. Но пак се извинявам, използуването на интерферометъра на Майкелсън не е характерната постановка в която се демонстрира отложеният избор, и може да доведе до по-голямо объркване, както и изисква повече обяснения от постановката за която е формулиран експериментът според Уилър.

От това, което е написала Шпага, останах с впечатлението, че двете едновременни събития са достигането на фотона до огледалото и махането на огледалото. Какво е всъщност точното условие на задачата?

  • Глобален Модератор
Публикувано (edited)

От това, което е написала Шпага, останах с впечатлението, че двете едновременни събития са достигането на фотона до огледалото и махането на огледалото. Какво е всъщност точното условие на задачата?

Идеята е следната. Интерферометъра се състои от входно делително огледало, което праща лъчите на две отдалечени огледала, и отразените лъчи се връщат и интерферира, класическа схема на Майкелсонов интерферометър. Идеята е след като фотонът се е отразил от отдалечените огледала, но преди да е достигнал мястото за интерференция (преди да се е върнал на входа), да се премахне едното от отдалечените огледала. Мястото за интерференция (при делителното огледало) и това огледало са раздалечени, и едновременните събития - попадане върху интерференчният екран и махане на огледало са пространствено раздалечени. Според квантовата механика това трябва да повлияе на резултатът от интерференцията, независимо че изглежда че фотонът вече няма работа с огледалото от което се е отразил. Той продължава да "чувства" това огледало така както "чувства" и двата процепа при интерференцията. Напълно в синхрон с квантовата нелокалност, както и например с интерпретацията на Файнман че той няма траектория и се движи по всички възможни пътища, или че се намира навсякъде в пространството преди да бъде детектиран върху интерференчният екран.

Редактирано от scaner
  • Глобален Модератор
Публикувано

***

Той продължава да "чувства" това огледало така както "чувства" и двата процепа при интерференцията. Напълно в синхрон с квантовата нелокалност, както и например с интерпретацията на Файнман че той няма траектория и се движи по всички възможни пътища, или че се намира навсякъде в пространството преди да бъде детектиран върху интерференчният екран.

Ако не ми изневерява паметта има сходен опит с "маркиран" електрон, който продължава да чувства маркировката си, както и премахването и.

Греша ли?

  • Потребител
Публикувано

Преди ви питах да укажете конкретни разминавания с експеримента - никакъв отговор. Сега пак ви питам - каква е (и според кого) предполагаемата действителност, и по какво тя се различава от предсказаното по вълновата функция? За какво разминаване с действителността говорите?

Ами - на всички въпроси съм отговарял, ама имам чувството, че не ме четеш или по-скоро - пренебрегваш четеното.

Не случайно цитирах какво е казал Бел:

Накратко следва да се обърнем към собствено философската концепция на Джон Бел за „съществуеми‖ (beables)7 в противовес на „наблюдаемите‖ от стандартната интерпретация на квантовата механика. Неговата мотивацията е следната:

„Една бъдеща теория „би могла да не бъде фундаментално относно ‗измерванията‘, понеже от това отново би следвало непълнота на системата и неанализирани въздействия отвън. По-скоро би трябвало отново да стане възможно да се говори, не че такава система може да се наблюдава, че е такава, а че тази и тази е

така. Теорията няма да е относно ‗наблюдаеми‘, а относно ‗съществуеми‘. Тези съществуеми, разбира се, няма нужда да приличат на онези от, да речем, класическата електронна теория; но поне би трябвало на макроскопично равнище, да дават един образ на ежедневния класически свят, понеже решаващото е да се признае, че макар явленията да отиват далеч отвъд обхвата на класическото физическо обяснение, резултатът от всички потвърждения трябва да се изрази в класически термини‖ ( Bell 1973: 41*)8.

Говори за същност. Също приказваш за същност, макар и по друг начин, като възприемаш нещо като "отложен" избор.

Не ли те навежда на мисъл, че това, с отложен избор, е същото, което приказвам за придобито свойство. Само че, за отложен избор се чудим дали е така, а ... по хипотезата - баш си е придобито свойство (по-точно: променена част от свойство, заради външните за обекта влияния, например ново насочване на оста Z)

Сканер, в постинг 117: От тук нататък е интерпретация в светлината на КМ да се твърди, че двете сплетени частици са една частица на две места, или едно явление на две места. Факт е че те са две частици, които се държат в определени ситуации като една. Ние нямаме интуицията да си представим такива квантови състояния, и сме принудени да ги изразяваме в известните ни термини, които произхождт от способността ни да разделяме окружаващата ни действителност на части, за да я изучим, което е качество само на макросвета. Затова и интерпретациите ни са до голяма степен парадоксални, приложени за микросвета.

Част от експериментите със сплетени двойки се основават на т.н. отложен избор, т.е. случаен избор на взаимният ъгъл на детекторите осъществен след излъчване на сплетената двойка (или след регистрацията на едната частица от двойката). Такива експерименти идат да покажат, че поляризацията на фотоните (или спинът при електроните) не са определени изначално, в момента на излъчване, а се определят чак при регистрацията им. Което води до преосмисляне на понятието "реалност" за параметри описващи квантово състояние - тези параметри възникват в момента на измерване (или взаимодействие), а частицата не ги носи непрекъснато и те само да се променят. Но това е по-сложната тема.

Да, по-сложна тема е и е философска: Ето, ако при интерпретациите възникват логични "нарушавания" на причино-следствени връзки (което често се споменава в официални становища), значи, изначалната теоретична постановка, върху която се градят моделите - не става! Да, ама като не може да се обясни пустия му колапс без мигновености?.. много лесно се залита към нарушаване връзката причина-следствие...

По хипотезата ми, такива страхотии - няма. Че не ти харесва е отделен въпрос; можеш да не я ... четеш, примерно.

  • Потребител
Публикувано

Предлагам ви една книга, в която атомистичното схващане предоставя естествено обединение между квантовата механика и теорията на относителността.

Теорията на относителността и квантадействие (4 атомизъм)

579.jpg

* * *

Статията е публикувана в списание Светът на физиката брой 1 от 2010 - издание на Институтът за ядрени изследвания и ядрена енергетика (ИЯИЯЕ) при Българската академия на науките (БАН)

Коментира книгата Анастас Анастасов.

РАЗБИРАЕМ ЛИ Е КВАНТОВИЯТ СВЯТ? А. Стефанов

Искрено се надявам 4 атомизмът на Анастас Анастасов да отговори на някои от поставените в настоящата тема въпроси.:)

С пожелания за успешна нова седмица ... поздрави Б.Б.

Здрасти, Богданов!

Чудесна защита е направил А.Анастасов, особено - в отговор на рецензентите. (Преди месец-два я разглеждах в един друг клуб - цялата защита)

Тръгва от теорията за реновацията (хипотезата ми също "започва" от там - "Нищо ново под Слънцето" дето се казва, идеята е още от Лайбницово време разработвана), но в съвременен вариант.

Показва математическите доказателства за възможността предположеното да е вярно. Според рецензентите не се справя добре. Но в отговор на рецензиите, им показва, че: не са запознати с тънкостите на разглеждана от него "материя" и съответно, опоровергава тяхните становища. Както и да е, той със сигурност я преосмисля към по-добро.

Ето какво съм отговорил на поредното подмятане в оня клуб:

Идеята е добра, сага очаквам ... да се появи и да каже, че това за "ту ги има ту ги няма" е обяснено в хипотезата му.

Трябваше да го прочета, преди да кажа, да. :biggrin:

Евалла на човека.

Но - при мен, не е: "ту ги има, ту ги няма", а непрестанно се образуват (вариант от теорията за реновацията); по-подходящо е: "едното служи за подложка за образуване на другото", а след това - обратно; в смисъл - сдвоени са и общата им обвивка е размер на обекта. Така обектът става наистина неделим (в смисъл -атомизъм) и което е изключително важно: още с раждането на вещевата времето тече напред - няма спор по "причина-следствие", защото перфектно се обясняват и странностите на КМ.

И още: открива се обратната връзка (ОВ) и в неживата природа, т.е., всички предпоставки за саморазвитие и самоорганизация са налице, което пък дава възможност физиката да се пренесе в еволюционнен план, в крайност - да обясни и живота.

Така че - който иска "математика" за резонност на идеята - да чете А.Анастасов.

...

  • Глобален Модератор
Публикувано

Малоум, изглежда не сте разбрали какво ви питам, затова отговорът ви не отговаря на въпросите ми. Ето отново въпросите ми разделени:

1) по какво тя (действителността) се различава от предсказаното по вълновата функция?

2) За какво разминаване с действителността говорите?

И по двата въпроса - споделете за какво квантовата механика (чийто основен апарат е вълновата функция) дава погрешно предсказание за нещо наблюдаемо. Не става дума за интерпретации или ненаблюдаеми измислени същности. Или както обиикновено говорите по инерция измислени неща?

Колкото до това:

Ами - на всички въпроси съм отговарял, ама имам чувството, че не ме четеш или по-скоро - пренебрегваш четеното.

погледнете пост №126, за да се уверите кой чете и кой не.

  • Глобален Модератор
Публикувано

Това, ако е предназначено за вашата идея:

Така че - който иска "математика" за резонност на идеята - да чете А.Анастасов.

не се ли отрича с това:

Но - при мен, не е: "ту ги има, ту ги няма", а непрестанно се образуват (вариант от теорията за реновацията)

Как си представяте идея, почиваща на съвсем друга основа, да се описва със същата математика? Нещо повече - ако е вярна идеята на Анастасов, то вашата по необходимост е погрешна. Следователно не може да се присламчвате към чужди модели.

  • Потребител
Публикувано

Здравей, Малоум!

Е, поне всички казват, че експеримента се поставя, за да се види, дали предсказаното по вълновата функция (не забравяме, че са вълни на вероятности и само локализиран вълнов пакет има физически смисъл, т.е. смесена вълна се "гледа") отговаря на действителността - такава, каквато си мислят, че е!

Е, как може вълнов пакет да е локализиран? Според мен точно това няма физически смисъл:lac:

  • Потребител
Публикувано

Малоум, изглежда не сте разбрали какво ви питам, затова отговорът ви не отговаря на въпросите ми. Ето отново въпросите ми разделени:

1) по какво тя (действителността) се различава от предсказаното по вълновата функция?

2) За какво разминаване с действителността говорите?

И по двата въпроса - споделете за какво квантовата механика (чийто основен апарат е вълновата функция) дава погрешно предсказание за нещо наблюдаемо. Не става дума за интерпретации или ненаблюдаеми измислени същности. Или както обиикновено говорите по инерция измислени неща?

Колкото до това:

погледнете пост №126, за да се уверите кой чете и кой не.

Бъркаш - за тълкуване става въпрос. Затова залитаме към философски проблеми.

Навсякъде в отговорите съм "вмъквал" изречение в смисъл: Тълкуването не може да обясни КМ. А не - че КМ е грешна! Прави разлика: със старите знания не е възможно да се даде еднозначно тълкуване на резултатите и от опитите, и от предсказаното от КМ. Особено на въпрос:"Защо е така?" И, разбира се, по-нататък обяснявам, защо КМ работи, но от гледна точка хипотезата. Тоест - предсказаното от КМ е резонно, но си иска и особеност в тълкуване - не върви със старо разбиране.

Приемаш критиката на статуквото, като лична обида, а не е така, поне - не ми е това мисълта, аз не мисля така: просто, засега, няма основания да се твърди, че съществуващите модели показват реалността, защото, от различните опити се налага да се правят противоречиви заключения, например, за локалността на взаимодействията и въздействия от разстояние. Какви ли не "хватки" се опитват да прилагат специалистите, само и само да натъкмят предсказаното от КМ-моделите, към резултатите от опитите - това поне, го показа и ти с линковете, и Дорис, и Шпага. Тези линкове третират (разсъждават върху) тълкувания, а не нещо друго.

Простото обяснение с непрестанното образуване на обектите от хипотезата, в това отношение, си е наред. Не виждам, с какво ти пречи..., щото, колкото и пъти да се опита да ми опонираш с все нови и нов постановки, им дадох обяснение с хипотезата.

И този път пак (за кой ли път!) ти отговорих, и на двата въпроса. :biggrin:

...

  • Потребител
Публикувано

Как си представяте идея, почиваща на съвсем друга основа, да се описва със същата математика? Нещо повече - ако е вярна идеята на Анастасов, то вашата по необходимост е погрешна. Следователно не може да се присламчвате към чужди модели.

Не, не се описва със същата математика. :biggrin:

Въпросът беше, че ако искаме "теория за реинкарнацията" има вече, поне един, матмодел.

А, както си забелязал - изначалните постановки при мен са различни от постановките на Анастасов. И той, (както сегашните специалисти) приема "атомизъм" (цялостност, неделимост) като изначално условие, но липсва направата на тоя атомизъм от физическия вакуум; а, ако я имаше, според мен - щеше да стигне и до направа на собствени свойства на обектите, което си е препъни-камъче и в сегашната интерпретация за обектите. Не само че не се присламчвам, ами знам къде е отклонението от обективната действителност; ако забелязваш, съм започнал отговора си с "не...", в смисъл на оспорване на начало: не е такава основата. :biggrin:

(И ... не забравяй, чи ти си вадиш хляба с това, че си се присламчил към чужди модели ... Предполагам: не преподаваш собствени модели... (може и да не съм прав, не знам, даже - дано не съм прав!) :biggrin: )

...

  • Потребител
Публикувано

Здравей, Малоум!

Е, как може вълнов пакет да е локализиран? Според мен точно това няма физически смисъл:lac:

Здрасти, Шпага!

Физическият смисъл на локализиран вълнов пакет е, че разглежданата частица все едно се намира в него, в неговата размазана област и с неговата скорост се движи. Защо той, локализ. вълнов пакет, съответства физически на реална частица, няма еднозначен отговор - даже, в началото, се е считало, че именно това е частицата... докато не се е установило, че е пакет от вероятностни характеристики. И това е "откъснало" реалността от матмодела, но по принцип - няма голямо значение - все още хората си считат, че реално съвпадат, макар и по "пространствена област".

(Има във "Файнманови лекции по физика" тълкуване на локализиран вълнов пакет)

...

  • Потребител
Публикувано

Здравей Малоум 2.

Може ли да ми обясниш,според твоята хипотеза,какво представлява движение на твърдо тяло в пространството?

Ако може с по разбираеми термини,на обикновен Български език. И ако може без фотони .

Да речем имаме субстанция наречена материя.Да речем че материята - са частици, за по лесно. Имаме пространство - в което няма частици. И тази материя се движи в това пространство.

Има ли нещо по различно в твоята хипотеза от това което се "наблюдава"?

  • Потребител
Публикувано

Здравей Малоум 2.

Може ли да ми обясниш,според твоята хипотеза,какво представлява движение на твърдо тяло в пространството?

Ако може с по разбираеми термини,на обикновен Български език. И ако може без фотони .

Да речем имаме субстанция наречена материя.Да речем че материята - са частици, за по лесно. Имаме пространство - в което няма частици. И тази материя се движи в това пространство.

Има ли нещо по различно в твоята хипотеза от това което се "наблюдава"?

Изместваме темата, затова, с по едно изречение (иначе спамим и си е за разискване в отделна тема):

Да, мога да обясня движението на телата по инерция по пространството (хипотезата за физвакуума - малко съм писал в темата "Квантов басейн", а и другаде, ако си чел)

Материята има две форми: полева и вещева; вещевата форма има (притежава собствена характеристика "маса") маса при покой - става възможно да се закачи към нея КС - условно приемаме нула за отчет.

Полевата форма на материята са фотоните - сам виждаш, без фотони не е пълна картинката за материята.

Най-важното: взаимодействията се осъществяват посредством "поглъщане-излъчване" на фотони от самите вещеви обекти.

Различното в хипотезата ми е началото (невидимо, затова е хипотеза): направа на обекти (и вещеви и полеви) върху физвакуума.

А иначе: Наблюдават се обвивки на множество вещеви обекти (малки частици, но много), взаиимосвързани със собствените си обвивни фотони в по-едър ансамбъл, та когато от тая обвивка се погълне-излъчи фотон, то той да може да взаимодейства с нашите датчици и да им промени състоянието (например във видимия спектър на лъченията)- по тази промяна, косвено съдим за възможно случилото се.

...

  • Глобален Модератор
Публикувано

Бъркаш - за тълкуване става въпрос. Затова залитаме към философски проблеми.

Защо се опитвате да ни заблуждавате? Въпросите ми бяха конкретни по вашето изказване: по какво тя (действителността) се различава от предсказаното по вълновата функция? Ето, в следните цитати вие в прав текст говорите за това, а не за тълкуване:

Това е ваш цитат:

Нали е свързан матапарата на КМ с колапс на вълнова функция. Ако се възприеме, че тоя колапс е мигновен процес - има някакви крайни резултати, във връзка с които се появява и тоя парадокс - АПР. Това е и предизвикало експериментите "аспе"-варианти. Значи има екперименти, които задълбочават въпроса , но не го решават ...

Който показва че нищо не сте разбрали от квантовата механика, след като набеждавате колапса на вълновата функция за реален процес във времето. Матапарата използува вълнови функции. Матапарата също така предсказва коректно резултатите от експеримента, поради което матапарата не довежда до парадокси. Вие явно бъркате модел с интерпретация на модела? В случая забележете, вие критикувате модела, а после се оправдавате с интерпретяации. При това от позиция на пълно неразбиране.

Това също е ваш коментар:

Така - твърдя същото, но не съм си го измислил, за да се правя на интересен, а ако си спомняш, коментирах "изводи" от предоставените линкове, касаещи проблема. Според мен е грешно: резултати от матмоделите, да не се съобразят с реално възможните резултати, които имат физически смисъл.

И колкото и да ви питах, пълно мълчание от ваша страна - кои резултати от матмоделите не се съобразяват с реалността Говорите пълни измислици, а се оправдавате че друг го бил измислил? Или не сте разбрали какво друг е измислил а си карате по навик с ваши измислици? Отново говорите за модела като си въобразявате че е интерпретация.

Това е ваш коментар към Дорис:

Не, според мен, вълновата функция не е "съгласената" в експеримента... Експериментът е нагласен така, че вълновата функция да му ръкопляска. Виж каква е... сътворена: вълните са със сферична форма около източник и когато се хване фотон от вълната, то тя "колапсира" - цялата влиза в датчика?! - мигновено "свиване до точка"). Това е едно неявно схващане за възможен процес.

Ще можете ли да ни обясните какво на вълновата функция не е "съгласено" с експеримента, какво от предсказанията с нейна помощ се оказва фрешка? Може би това е вашата нелепа интерпретация на вълновата функция като на нещо, колапсиращо за да "влезе в датчик"? Не стига че сам сте си измислили такива свойства на вълновата функция, а и намесвате философсттване за "аргумент". Отново вие критикувате ваша интерпретация, а обвинявате КМ? Тук става дума отново само за ваши криви разбирания. Само тук говорите за интерпретации, но отново само ваши, иначе не сте в час.

И тук сте се изхвърлил:

Е, поне всички казват, че експеримента се поставя, за да се види, дали предсказаното по вълновата функция (не забравяме, че са вълни на вероятности и само локализиран вълнов пакет има физически смисъл, т.е. смесена вълна се "гледа") отговаря на действителността - такава, каквато си мислят, че е!

Оказва се, че не е такава предполагаемата действителност и затова, в него постинг, съм коментирал по-нататък за собствени свойства и свойства привнесени с експерименталната установка. Не се е очаквало, че има такава "привнесеност" (или намесата в опита не е била толкова очевидна, поради липса на изначална същност) и затова обясненията-тълкуванията се разминават с действителността.

Какво по-точно се е оказало за действителността? Че моделът не предсказва правилни резултати? Какви, нали това ви питах няколко пъти вече? Какво във връзка с действителността критикувате? Или отново някакви погрешни ваши представи за КМ ви спъват? Изглежда отново сте объркали интерпретация и действителност.

Навсякъде говорите за модела на КМ и действителността (и несъответствието на резултатите с нея), не за интерпретации - освен там дето сам сте измислили такива. Всичко казано до тук опровергава твърдението ви, което съм цитирал в началото. За това се опитвате да не отговорите на въпросите ми, защото нямате ясна представа от това което критикувате, и се опитвате да скриете този факт в многодумието си.

Извинявам се на Дорис че пак се отклонявам, но това е прекалено, несъразмерни претенции и немощни възможности.

  • Потребител
Публикувано

Физическият смисъл на локализиран вълнов пакет е, че разглежданата частица все едно се намира в него, в неговата размазана област и с неговата скорост се движи. Защо той, локализ. вълнов пакет, съответства физически на реална частица, няма еднозначен отговор - даже, в началото, се е считало, че именно това е частицата... докато не се е установило, че е пакет от вероятностни характеристики. И това е "откъснало" реалността от матмодела, но по принцип - няма голямо значение - все още хората си считат, че реално съвпадат, макар и по "пространствена област".

(Има във "Файнманови лекции по физика" тълкуване на локализиран вълнов пакет)

Извинявай, но просто не мога да повярвам, че представите на Файнман са били чак толкова примитивни:w00t: А това, което си написал в темата "Квантов басейн":

Въобще - частицата "изглежда" като пухено топче, по-твърдичко в средата (центъра) и структуриращо околността си по свой образ и подобие (на собствените си трептения), с някакво закъснение, затова - съм го нарекъл "коса" на пухчето-топче.

Ееее, това все едно че е излязло изпод перото на някое хлапе второкласниче, а не от човек, който твърди, че с хипотезата си "изправя науката Физика на крака":help:

  • Глобален Модератор
Публикувано

Ееее, това все едно че е излязло изпод перото на някое хлапе второкласниче, а не от човек, който твърди, че с хипотезата си "изправя науката Физика на крака":help:

На мен подозрително ми прилича на написано от Пенчо Бойчев :laugh:

  • Потребител
Публикувано

Извинявай, но просто не мога да повярвам, че представите на Файнман са били чак толкова примитивни:w00t:

Здрасти, Шпага,

Файнманови лекции по физика, т.1, стр.555 - много приятни формулки, но неудобни за изписване тук, та само на последните думи:

" ... По такъв начин се вижда, че като вземем под внимание основните квантовомеханични съотношения E=h.w и p=h.k, определящи w и k чрез класическите величини E и p и даващи само уравнението w^2 - k^2.c^2 = m^2.c^4/h^2, сега могат да се разберат също съотношенията ... , които свързват Е и р със скоростта. Разбира се, груповата скорост трябва да бъде скоростта на частиците, ако тази интерпретация въобще има някакъв смисъл. Нека, както предполагахме, в даден момент частицата да се намира на едно място, а след това, да кажем след 10 мин - на друго. Тогава, съгласно квантовата механика, разстоянието преминато от "камбаната", разделено на интервала от време, трябва да бъде равно на класическата скорост на частицата."

Тук "камбаната" е самият локализиран вълнов пакет.

Ееее, това все едно че е излязло изпод перото на някое хлапе второкласниче, а не от човек, който твърди, че с хипотезата си "изправя науката Физика на крака"

Предисловието, за достигане на този първолашки модел не е важно, нал тъй!

Пък, щом не ти харесва, измисли си моделче - в теория на хаоса е пълно с "възможни" модели ...

Ще се учудиш, че началото им е пухеното топче (такъв модел са давали и класиците на физиката, но не е било ясно кое-какво е), а последствие взаимодействия, може да образува всички останали наблюдаеми форми..., особено, форми животински тип, като рога, копита, хоботи, опашки, крила, клюнове и др.... от едно нищо и никакво "яйце с дупки", каквото представлява всяко животно.

...

...

  • Потребител
Публикувано

Здрасти, Шпага,

Файнманови лекции по физика, т.1, стр.555 - много приятни формулки, но неудобни за изписване тук, та само на последните думи:

" ... По такъв начин се вижда, че като вземем под внимание основните квантовомеханични съотношения E=h.w и p=h.k, определящи w и k чрез класическите величини E и p и даващи само уравнението w^2 - k^2.c^2 = m^2.c^4/h^2, сега могат да се разберат също съотношенията ... , които свързват Е и р със скоростта. Разбира се, груповата скорост трябва да бъде скоростта на частиците, ако тази интерпретация въобще има някакъв смисъл. Нека, както предполагахме, в даден момент частицата да се намира на едно място, а след това, да кажем след 10 мин - на друго. Тогава, съгласно квантовата механика, разстоянието преминато от "камбаната", разделено на интервала от време, трябва да бъде равно на класическата скорост на частицата."

Тук "камбаната" е самият локализиран вълнов пакет.

Имах лекциите на Файнман на руски, но след срив на компа ми ги изгубих. Ще ги потърся отново, за да прочета по-подробно за какво става дума, защото от това, което ти си цитирал, нищо не се разбира.

А ето и един цитат от тук:

http://www.google.bg...y1HCQfPXYEEvM_g

А.К. Цялата трудност произтича от нашата представа за частиците като малки вълнови пакети, локализирани в пространството, но тази представа няма нищо общо с формализма на квантовата механика. Конфигурационното пространство на двойка частици е 6-мерно, а не 3-мерно. Вълновата функция не е функция с един крайчец тук в 3 измерения и друг крайчец там в 3 измерения, тя съществува в пространство с 6 измерения, което е произведение на R3 по R3. В това е единствената трудност.

А.Л. - Нашето човешко - прекалено човешко - описание на частиците е идиотство.

  • Потребител
Публикувано

Като стана дума за Файнман, ето нещо, което ми направи много силно впечатление:

http://old.inrne.bas...2007/serial.pdf

В тази статия, от 363 стр. на списанието нататък, в подзаглавията "СИГНАЛИ ОТ БЪДЕЩЕТО" и "ВЕЩЕСТВО И ИНВЕРСИЯ НА ВРЕМЕТО" са описани някои от съвместните разработки на Уилър и Файнман. Искаше ми се да копирам откъса и да го постна тук, но не успях - излизат само "йероглифи":post-20645-1121105496:

  • Потребител
Публикувано

На мен подозрително ми прилича на написано от Пенчо Бойчев :laugh:

Приличат си, особено по това, че и двамата въздигат "измислянето на физ.модели" в култ, а пък "мат.моделите" ги изпълват с надменно презрение;)

Напиши мнение

Може да публикувате сега и да се регистрирате по-късно. Ако вече имате акаунт, влезте от ТУК , за да публикувате.

Guest
Напиши ново мнение...

×   Pasted as rich text.   Paste as plain text instead

  Only 75 emoji are allowed.

×   Your link has been automatically embedded.   Display as a link instead

×   Вашето предишно съдържание е възстановено.   Изчистване на редактора

×   You cannot paste images directly. Upload or insert images from URL.

Зареждане...

За нас

"Форум Наука" е онлайн и поддържа научни, исторически и любопитни дискусии с учени, експерти, любители, учители и ученици.

За своята близо двайсет годишна история "Форум Наука" се утвърди като мост между тези, които знаят и тези, които искат да знаят. Всеки ден тук влизат хиляди, които търсят своя отговор.  Форумът е богат да информация и безкрайни дискусии по различни въпроси.

Подкрепи съществуването на форумa - направи дарение:

Дари

 

 

За контакти:

×
×
  • Create New...
×

Подкрепи форума!

Дори малко дарение от 5-10 лева от всеки, който намира форума за полезен, би направило огромна разлика. Това не е просто финансова подкрепа - това е вашият начин да кажете "Да, този форум е важен за мен и искам да продължи да съществува". Заедно можем да осигурим бъдещето на това специално място за споделяне на научни знания и идеи.