Забелязахме, че използвате Ad Blocker

Разбираме желанието ви за по-добро потребителско изживяване, но рекламите помагат за поддържането на форума.

Имате два варианта:
1. Регистрирайте се безплатно и разглеждайте форума без реклами
2. Изключете Ad Blocker-а за този сайт:
    • Кликнете върху иконата на Ad Blocker в браузъра
    • Изберете "Pause" или "Disable" за този сайт

Регистрирайте се или обновете страницата след изключване на Ad Blocker

Отиди на
Форум "Наука"

Препръчано мнение

  • Потребител
Публикувано
Преди 15 часа, gmladenov said:
On 14.07.2020 г. at 10:26, Малоум 2 said:

Физиката има проблем с времето: В квантовата механика времето е универсално и абсолютно, непрекъснато върви напред ...

Но в Общата теория на относителността, която описва гравитацията, времето се променя по причудливи начини. Часовник на повърхността на Земята цъка по-бавно, отколкото на борда на орбитален спътник например.

При опитите да се комбинират тези две теории в една теория на квантовата гравитация, „проблемът с времето всъщност е доста важен“ ...

Очевидно става дума за две несъвместими концепции за време, които няма как да се обединят.
Едната концепция ще трябва да отпадне.

Според мен: Не става въпрос за несъвместимост - времето е реално вписано във Вселената и "върви" към усложняване на връзките при взаимодействия и действия. Не е само някаква илюзия и/или концепция за "подреденост" спрямо Изследовател. Не случайно е установена еволюция (развитие на обекти във времето) както на неживата природа, така и на живата. Строго се спазва правилото "причина-следствие", благодарение и на силите, които действат и на ниво ентропия, като информация за хаос. (Информацията е пропорционална на ентропията и за нейното "получаване" се хаби енергия). По принцип Изследовател ползва информацията, за удобство, в ред-последователност, но самата информация се съдържа във фотоните. А там е "скрито" време (период) в една от характеристиките на фотона - честотата му, имаща енергийно отношение при действия.

Понеже в ОТО се ползват енергия-импулс-тензори <--> геометрия - изводите са странни. Колкото повече окрупняват обектите, толкова повече им се намалява относителната скорост, сравнена със скоростта на по-малките обекти. Зависи и от плътността на окрупненото, но това принципно, означава Нова среда, съответно - по-ниска скорост на светлината (смес от много фотони) от тази на във вакуум. Тоест - обмен на информацията "за релаксиране" след взаимодействие, става по-бавно, с по-малък темп. Затова, към центрите на галактики, примерно, има забавяне на времето, което се предписва на маса на ЧД. А самата маса е само коефициент пред ускорението в силовото уравнение. И доколкото гравитационната сила може да се изясни с гравитони (фотони на грави-поле), то, ясно е, че плътността на гравитоните близо да център на плътно тяло става все по-голяма, а това е забавяне на темпа на процеси в такава среда. Принципът на еквивалентността важи и когато масата е коефициент на съпротива при въздействия на сила и затова - няма нужда да се правят различни понятия за различност на времето. И гравитоните са кванти. Но - се излъчват от керна на частиците и по мощност са незначителни в сравнение с ЕМСили, които обединяват частици в  обект и обособяване на собствен център на масите. Щото - там където действат ЕМСили имат за начална, управляваща ги структура, гравитони от керновете при структуриране на едрото.

...

 

  • Мнения 217
  • Създадено
  • Последно мнение

ПОТРЕБИТЕЛИ С НАЙ-МНОГО ОТГОВОРИ

  • Потребител
Публикувано
Преди 3 часа, Малоум 2 said:

Според мен: Не става въпрос за несъвместимост - времето е реално вписано във Вселената и "върви" към усложняване на връзките при взаимодействия и действия. Не е само някаква илюзия и/или концепция за "подреденост" спрямо Изследовател.

Ти явно смяташ, че времето е физически реално ... и там се разминаваме.

Дори да имаме някакъв универсален физически процес, който можем да използваме за
универсално време, пак се опира до това как да се синхронизира времето в две точки във
вселената. Как знаем, например, че часовниците на Млечния път и Андромеда са в синхрон?

Така че вселенският процес, който използваме за време, трябва не само да "цъка" с еднаква
скорост навсякъде,  но също така да има и вградена памет, която да ни каже колко "цъкания"
са отброени от началото на вселената, например. Без такава памет проблемът със
синхронизацията остава нерешен.

Във вселената има всякакви обекти, които "цъкат" и могат да се използват за метрономи.
Въпросът е, че за истински часовник ни трябва памет ... а това не го виждам да съществува
във вселената.

По принцип паметта е запомнено физическо състояние, а досега не съм виждал процес,
който да помни предишните си състояния (от само себе си).

  • Потребител
Публикувано (edited)
Преди 58 минути, gmladenov said:

Ти явно смяташ, че времето е физически реално ... и там се разминаваме.

Ами, може и да не се "разминаваме" - ако се досетиш, че и ти принадлежиш към наблюдател –Изследовател (датчици + мозък за анализ на резултати). Твърде ограничени сме от към сетива, за да може мозъкът ни да се справи с основната си задача - цялост на структурата Човек в динамиката на окръжението ни.

Изследовател иска не само да знае, ами и да управлява това което знае, но да управлява и това което не знае - което е недостижимо за полагане на физически експеримент.

И в статията пишат, че малките времена (предполагаемо физически реални) са недостижими за наблюдение ..., камо ли за управление. По косвени данни се измисля хипотеза, следствията от която да съответстват на вече известното, провереното в експеримент. Ако е така - има шанс да е вярна.

Преди 58 минути, gmladenov said:

Така че вселенският процес, който използваме за време, трябва не само да "цъка" с еднаква
скорост навсякъде,  но също така да има и вградена памет, която да ни каже колко "цъкания"
са отброени от началото на вселената, например. Без такава памет проблемът със
синхронизацията остава нерешен.

Ползва си го Вселената ... вселенския процес. "Вградена памет" е памет на структура и по хипотезата ми - това са сдвоените вакчастици (зърнест модел вакуум), като всяко зрънце е и със собствен часовник, който не цъка еднакво със съседите си (няма глобално лашкане на време), а във всеки един етап на образуването си, векторчето момент на импулс е различно по големина и направление. Затова съществуват като самостоятелни единици и може да се оприличат на стария етер по това, че са неподвижни обекти по място. ( идеализирана представа - като неподвижни точки в една пространствена вакуумна решетка, но при подреждане по вектор - сфазиране, локално пространството "диша" - променя се броят на точките в "евклидов" кубичен метър, но реално е един и същ броят - това е изкривяване на пространството, щото стените са "огънати" повърхнини, неевклидови). На Вселената не и пука за проблемите на Изследовател! 😎

Преди 58 минути, gmladenov said:

По принцип паметта е запомнено физическо състояние, а досега не съм виждал процес,
който да помни предишните си състояния (от само себе си).

Спомни си за времето на живот на  протона и електрона! Дори по изчисления ...Вечни са.😑

...

Редактирано от Малоум 2
  • 2 месеца по късно...
  • Потребител
Публикувано

Е, имало значи експеримент, потвърждаващ хипотезата, ама ... трябват още доказателства😎 След 9-та минута във видеото:  от фотони (полева форма на материя) - W-бозон, (засега - вещева частица пренасяща взаимодействия😑😞)

...

...

Заглавието е подвеждащо - съдържа се  научен обзор за различни новости.

...

 

 

  • 1 месец по късно...
  • Потребител
Публикувано

Гравитоните не са отречени. Само дето не са това, което си представят.

По хипотезата - гравитоните са възможно най-малката обвивка като балонче-слой, на централното образуващо трептене (10^(-26)m) "масова" елементарна частица. Излъчва се за всеки цикъл на образуване на центъра и структурира-подрежда околното пространство по подобие себе си. Пробно тяло с предимство се образува (центъра си) върху тази структура, +възможно най-малката стъпка към налитащият го гравитон, тълкува се като сила на привличане. Гравитоните не правят вълни като ЕМвълни (тях ги правят заредени частици), а структурират пространството в което са, подобно на самостоятелни пакет-фотони. Заради малкият си размер и ... почти липса на импулс в себе си, веществото е Съществено прозрачно за тях, но определят геодезични линии за "минимална" сила на привличане.

https://nauka.offnews.bg/news/Fizika_14/Dali-gravitatcionnite-valni-se-sastoiat-ot-chastitci-gravitoni-video_84476.html

Дали гравитационните вълни се състоят от частици гравитони (видео)

1496515398_1_559x*.jpg

Сега, след като детектора LIGO откри първия, втория и третия си сигнал от гравитационна вълна, тази част от теорията на Айнщайн, която прогнозира, че в тъканта на с амото пространство трябва да има вълни, е потвърдена. Това води до най-различни интересни въпроси, включително и този:

Очаква ли се гравитационните вълни да демонстрират двойнствената природа на вълна-частица и дали физиците от експеримента LIGO вече замислят начин да тестват това като експеримента с двойния процеп?

Ето какво отговори астрофизикът Итън Сийгъл (Ethan Siegel) на страницата на Forbes.

Двойнствеността вълна-частица е една от най-странните последици от квантовата механика, която някога сме откривали.

1496515466_1_559x*.jpgИзображение: Wikimedia Commons / Sakurambo, въз основа на работата на Томас Янг, представена на Кралското общество през 1803 г.

Всичко започва достатъчно просто: материя е направена от частици, неща като атоми и техните съставни части, а излъчванията са направени от вълни. Може да се каже, че едно нещо е частица, ако то прави неща като да се сблъсква, отскача или слепва с други частици, да обменя енергия с тях, да се свързва и т.н. А вълната се определя по дифракцията и интерференцията със самата себе си.

Нютон е смятал погрешно, че светлината се състои от частици, но други като Хюйгенс (неговия съвременник) и учените след началото на XIX век като Йънг и Френел показаха категорично, че светлината показва свойства, които не могат да бъдат обяснени, ако не се разглежда като вълна. Най-очевидното от тях е преминаването през двоен процеп - картината на фона на екрана показва, че светлината интерферира конструктивно (което води до ярките петна) и деструктивно (което води до тъмните петна).

1496515439_0_559x*.jpgИзображение: Wikimedia Commons/Dr. Tonomura and Belsazar. Забележете как интерференчната картина става все по-видима с достатъчно частици, въпреки че са минали през двойния процеп една по една.

Такова взаимодействие еднозначно характеризира обекта като вълна и така експериментът "доказва", че светлината е вълна. Но става още по-объркващо в началото на XX век с откриването на фотоелектричния ефект. Когато се пусне светлина върху определен материал, от време на време светлината ще "избива" електрони. Ако се направи светлината по-червена (да се понижи енергията) - дори и ако се направи светлината по-интензивна - светлината няма да избива електрони. Но ако направим светлината по-синя (с по-висока енергия), дори силно да се смъкне интензивността й, пак ще избива електрони. Скоро след това се оказа, че светлината се квантува на фотони и че отделните фотони ще се държат като частици, избивайки електрони, ако при правилната енергия.

1496518329_1_559x*.jpg

Изображение: Wikimedia Commons. Имайте предвид, че при енергии под определен праг, не се наблюдава йонизация, но над този праг, се случва йонизация с по-големи фотонни енергии, водещи до по-големи електронни скорости.

През XX век се появиха още по-странни резултати::

• Отделни фотони, преминавайки през един от двата процепа един по един се интерферират сами със себе си и създават картина, съответстваща на вълна.

• Електроните, известни като частици, също показват интерференция и дифракция.

• Ако се измери през кой прорез преминава фотонът или електронът, не се получава интерфренична картина, но ако не се измерва, се получава.

Изглежда, че всяка частица, която някога сме наблюдавали, може да бъде описана едновременно като вълна и частица. Нещо повече, квантова физика ни учи, че трябва задължително да разглеждаме частиците едновременно като вълна и частица, иначе няма да получим съгласуващи се с експериментите резултати.

1496515454_2_559x*.jpgИзображение: B. P. Abbott et al. (LIGO Scientific Collaboration and Virgo Collaboration), чрез PRL 116, 061 102 (2016 г.).

Стигаме до гравитационните вълни. Те са нещо уникално, защото сме наблюдавали само вълновата им проява, но никога не сме наблюдавали да се държат като частици. Но също както водните вълни се състоят от частици, ние очакваме, че гравитационните вълни също ще са направени от частици. Тези частици вместо водни молекули, трябва да бъдат гравитони, частицата, която предава силата на гравитацията и се очаква да се прояви като следствие на това, че гравитацията по своята природа е също квантово взаимодействие.

tumblr_nypiqszopI1r2geqjo1_540.gifИзображение: Dave Whyte of Bees & Bombs.

Тъй като това е вълна, съдейки по наблюденията, която се държи точно както предсказва Общата теория на относителността, включително по време на фазите inspiral, merger и ringdown, спокойно можем да заключим, че тя ще продължи да се държи като всички вълнови неща, които теорията на относителността прогнозира.

1496557752_9_559x*.jpgИзображение: ParticleBites

В детайли те са малко по-различни в сравнение с другите вълни, с които сме свикнали: те не са скаларни вълни като водните вълни, нито са векторни вълни като светлината, която има във фаза осцилиращи електрически и магнитни полета. Вместо това, те са тензорни вълни, заставящи пространството да се свива и разширява в перпендикулярни направления, когато вълната преминава през този район.

...

Тези вълни правят много от същите неща, които бихме очаквали от една вълна, в това число, те се разпространяват с определена скорост през среда (със скоростта на светлината през самата тъкан на пространството), интерферират с други вълни в пространството както конструктивно, така и деструктивно, тези вълни "се носят" на върха на всякаква друга кривина на пространство-времето, която вече съществува, и ако има някакъв начин да се накарат тези вълни да изпитат дифракция - може би при преминаване през силно гравитационно поле на източник като черна дупка - те ще направят точно това. Освен това, тъй като Вселената се разширява, ние знаем, че тези вълни ще правят това, което правят всички вълни в разширяващата се Вселена - да се разтягат и разширяват заедно с фоновото пространство на Вселената.

1496516058_7_559x*.jpgИзображение:  E. Siegel, from his book, Beyond The Galaxy

Така че истинският въпрос е как да се провери тяхната квантовата част? Как да потърсим корпускулярната природа на гравитационната вълна? На теория гравитационната вълна е подобна на анимацията по-горе, която показва ясно как се образува вълна от много движещи се по кръг частици - тези частици ще бъдат гравитони и цялостната видима вълна е това, което открива LIGO. Има всички основания да се очаква, че имаме гравитони, които:

• имат спин 2,
• нямат маса,
• разпространяват се със скоростта на светлината,
• и се взаимодействат чрез гравитация.

Ограниченията, получени от LIGO за масата на гравитона са изключително добри - ако гравитонът има маса, то тя е по-малка от 1,6 х 10-22  eV/c2 или ~ 1028 пъти по-лек от електрона. Но докато не се намери начин да се провери квантовата гравитация с помощта на гравитационните вълни, няма да знаем дали гравитационните вълни имат характер и на "частица" или демонстрират ли гравитоните корпускулярно-вълнов дуализъм.

Една гравитационна вълна потенциално би трябвало да се състои от огромен брой гравитони, но измерването на отделните й компоненти е изключително трудно и далеч отвъд нашите експериментални възможности. LIGO не може да различи единични гравитони по същата причина, по която телевизионната антена не различава единичните фотони. При сигнал детекторът е залят с частици и не е чувствителен към малките, дискретни стъпки енергия. Ако съществуват гравитони, LIGO не може ги разпознае, той не може да различи огромното количество гравитони в една некватувана гравитационна вълна. Ето защо LIGO не може да не ни каже нищо за съществуването на гравитоните.

За това всъщност има няколко възможности, въпреки че LIGO е малко вероятно да успее. Виждате ли, квантово-гравитационните ефекти най-силно се проявяват там, където има силни гравитационни полета на много малки разстояния. Едва ли има по-добър случай да се вникне в това, отколкото сливането на черни дупки. При сливането на две сингулярности тези квантови ефекти - които трябва да са отклонения от Общата теория на относителността - ще се показват в момента на сливането, малко преди и малко след това. Реално погледнато ние не търсим времеви отрязъци от порядъка на пикосекунди, а не на милисекунди или микросекунди, за които е чувствителен LIGO, но това може да не е невъзможно.

По принцип разработени са лазерни импулси, които работят по скалата на фемтосекунди и даже атосекунди (10-15 сек - 10-18 сек), така че потенциално е възможно да се организира чувствителност, която да проследи малки отклонения от Теорията на относителността, ако могат да се пуснат наведнъж достатъчно интерферометри. Това изисква огромен скок в областта на технологиите, включително и голям брой интерферометри и значително намаляване на шума и увеличаване на чувствителността. Но това не е технически невъзможно - това е просто технологично трудно.

Ако успеем да проверим корпускулярната природа на гравитона, това ще завърши нашата представа за дуализма вълна-частица в тази Вселена. Ние  очакваме това да е истина, но не знаем със сигурност. Надяваме, че нашето любопитство ще ни накара да инвестираме в изясняването на този въпрос, че природата ще разкрие тайната си и в края на краищата ще разберем.

...

...

  • 3 седмици по-късно...
  • Потребител
Публикувано

Още едно косвено доказателство за принципа на подобието при структуриране на материята - изгражданите подобни структури, в околността на вече готова структура, се оказват устойчиви във времето и еволюцията (по хипотезата) следва това. Околното пространство на частица "подсказва", че раждането на друга трябва да е подобно на нея - по физически параметри - за да е устойчива във времето.

 

https://nauka.offnews.bg/news/Novini_1/Prilicha-li-choveshkiiat-mozak-na-Vselenata_159931.html

Прилича ли човешкият мозък на Вселената?

1605640359_2_559x*.jpgВляво: участък на малкия мозък, получен с електронна микроскопия(e.g. Murre+95, Herculano-Hozuel 2012)); вдясно: част от космологична симулация (e.g. Cautun+14, Gheller+15). Кредит: ON THE COMPLEXITY AND INFORMATION OF (SIMULATED) LARGE SCALE STRUCTURES, Franco Vazza, Alberto Feletti

Астрофизик от Университета в Болоня и неврохирург от Университета във Верона сравняват мрежата от невронални клетки в човешкия мозък с космическата мрежа от галактики ... и виждат изненадващи прилики.

В своята статия, публикувана във Frontiers in Physics, Франко Ваца (Franco Vazza), астрофизик в Университета в Болоня, и Алберто Фелети (Alberto Feletti), неврохирург в Университета във Верона, изследват приликите между две от най-предизвикателните и сложни системи в природата - космическата мрежа от галактики и мрежата от невронални клетки в човешкия мозък.

Въпреки съществената разлика в мащаба между двете мрежи (повече от 27 порядъка), техният количествен анализ, който се намира на кръстопътя на космологията и неврохирургията, предполага, че различни физически процеси могат да изграждат структури, характеризиращи се с подобни нива на сложност и самоорганизация.

Човешкият мозък функционира благодарение на широката си невронална мрежа, за която се смята, че съдържа приблизително 69 милиарда неврони. От друга страна, наблюдаваната Вселена е съставена от космическа мрежа от поне 100 милиарда галактики. В рамките на двете системи само 30% от техните маси са съставени от галактики и неврони. В рамките на двете системи галактиките и невроните се подреждат в дълги нишки или възли между нишките. И накрая, в двете системи 70% от разпределението на масата или енергията се състои от компоненти, играещи очевидно пасивна роля - вода в мозъка и тъмна енергия в наблюдаваната Вселена.

1605641048_8_559x*.jpg

фигура 1. Симулирано разпределение на материята на космическата мрежа на участък с размери 1 милиард светлинни години (вляво) спрямо наблюдаваното разпределение на невронни тела в малкия мозък (вдясно), реално изображение на дебелина 4 микрометра (µm). Кредит: University of Bologna

Започвайки от общите характеристики на двете системи, изследователите сравняват симулация на мрежа от галактики с участъци от мозъчната кора и малкия мозък. Целта им е да се наблюдава как колебанията на материята се разпръскват в толкова разнообразни мащаби.

"Изчислихме спектралната плътност на двете системи. Това е техника, често използвана в космологията за изследване на пространственото разпределение на галактиките", обяснява Франко Ваца. "Нашият анализ показа, че разпределението на флуктуация в невроналната мрежа на малкия мозък в скала от 1 микрометър до 0,1 милиметра следва същата прогресия на разпределението на материята в космическата мрежа, но, разбира се, в по-голям мащаб, който варира от 5 милион до 500 милиона светлинни години".

1605641410_0_559x*.jpgфигура 2. Разпределение на флуктуациите като функция от пространствения мащаб за същите карти от фигура 1. За сравнение са показани спектралната плътност на облаците, клоните на дърветата и плазма и вода в турбулентно състояние. Кредит: University of Bologna

Двамата изследователи изчисляват и някои параметри, характеризиращи както невронната мрежа, така и космическата мрежа-  средният брой връзки във всеки възел и тенденцията за групиране на няколко връзки в съответните централни възли в мрежата.

"За пореден път в структурните параметри са идентифицирани неочаквани нива на съгласуваност. Вероятно връзката в двете мрежи се развива следвайки сходни физически принципи, въпреки поразителната и очевидна разлика между физическите сили, регулиращи галактиките и невроните", добавя Алберто Фелети. "Тези две сложни мрежи показват повече прилики отколкото между космическата мрежа и галактиките или невронална мрежа и вътрешността на невроналното тяло".

Обнадеждаващите резултати от това пилотно проучване показват, че новите и ефективни техники за анализ в двете области, космологията и неврохирургията, ще позволят по-добро разбиране на динамиката в основата на еволюцията на тези две системи.

Справка: F. Vazza et al, The Quantitative Comparison Between the Neuronal Network and the Cosmic Web, Frontiers in Physics (2020). DOI: 10.3389/fphy.2020.525731

Източник: Does the human brain resemble the Universe?, Università di Bologna

...

...

  • Потребител
Публикувано (edited)

В хипотезата ми е показано, че разумен живот може да се структурира само на основата на хим.елемента въглерод. Ето  и едно  друго "виждане" на същото и от други, макар да не им е ясно, физически (по-скоро са химически предположенията, но не могат да обяснят разумност) - защо само въглеродът може да прави "прави " живот, който да стигне до интелект!

...

(формулата на живота от хипотезата:

Животът е ЯВЛЕНИЕ на самовъзпроизвеждане на различни, взаимосвързани белтъчни структури, чрез обмен на физическа информация с околна среда.)

...

За достигане сложна организация "Интелект" е нужно бързодействие на информационните връзки, особено - по обратна връзка, за цялостност на високоорганизираното - структура Гл. мозък при Човек.

...

Редактирано от Малоум 2
  • 2 месеца по късно...
  • Потребител
Публикувано

Здравей!:)

Постингът на Сканер за сингуларностите ме доведе до един навярно тъп въпрос, но все пак ще ти го задам:

Дали можем да допуснем, че вакчастиците всъщност са някакъв вид сингуларности -- т.е. че всяка вакчастица е сингуларна точка? Чел си споменатия постинг, затова предполагам, че ме разбираш какво имам предвид.

  • Потребител
Публикувано
Преди 21 часа, Шпага said:

Здравей!:)

Постингът на Сканер за сингуларностите ме доведе до един навярно тъп въпрос, но все пак ще ти го задам:

Дали можем да допуснем, че вакчастиците всъщност са някакъв вид сингуларности -- т.е. че всяка вакчастица е сингуларна точка? Чел си споменатия постинг, затова предполагам, че ме разбираш какво имам предвид.

Здрасти, Шпага!

Да, може да се  допусне само теоретично - като точки от пространствена мрежа, но, за да има яснота какво да се прави по-нататък, във всяка точка има вектор (стрелка) с променлива посока и големина. Вектор - момент на импулс. Идеята е, при сдвояване (като две захванати една за друга, взаимно перпендикулярни бримки от верига са "една" точка) централната част е начало на стрелката и тъй като единият кръгов ток "прави" поле - извън себе си, като магн. поле на тороидална бобина - то това поле служи за направа, като подложка, за кръговия ток на другата, когато "затихва". Така - тая точка, централната,  само трепти около мястото си, а полетата от тока в бримките - им образуват обем, като обвивката на този обем може да е с различна форма - сферична (несмутени от др. полета) до елипсоидна, или пурообразна форма, ако участва в пренос на смущение. В този смисъл - точковата пространствена мрежа е Еластична, точките са недосегаеми за експеримент, а наличието на вектор - прави възможно подреждане на съседи в ред-някакъв. При липса на смущения - гладка мрежа с възможно най-ниска ентропия - в смисъл на информация и без изкривявания. Тя е основа за възникване на обекти, които изследваме вече в макрото и дават ентропията в термодинамиката.

Тоест, още преди да се е получило вещество от познатата ни материя, има вероятност за нарушаване на ентропията във вид на флуктуации. Ако не се поддържат - локално затихват, заради неподвижността на точките по място в решетката. Но, ако се сфазират няколко флуктуации се получава ток по направление на сфазирането, а съседите "извън" направлението, закъсняват с подреждането си за гасене (изглаждане) на структурата и възстановяването на токовете е вече на ново място. Така подреденото по линия пренася  Импулс и веднъж "задвижен" такъв пренос по мрежата, не може от само себе си да спре - разпространява се ЕМВълна - самоподдържа се с фазова и групова съставка.

Така в хипотезата - нули, като реалност - не трябват, т. е. практически няма сингулярности и безкрайни енергии. Но за описание, т. е. за матмодели мога да се ползват идеализирано, стига да не се правят неуместни изводи. Като например, че физическите закони в ЧД - не важат (в смисъл - не знаем дали е така )... Принципно - физически закони имаме след създаване на материални обекти с маса, заряд и т. н. - измерими от нас физически свойства. ЧД - е само подреден вакуум. В него няма частици с маса - т. е., трябва да се счита за хало като на  магнитно поле, което хало обхваща цялата галактика и я върти като едно цяло.

...

  • 3 седмици по-късно...
  • Потребител
Публикувано

В  Хипотезата се показва, че преди еволюция на живата природа има, съществува, еволюция на неживата природа. И ... не е "Дарвинова" еволюция☺️, а на чисто физическа основа. Хаосът от полетата силно намалява при уравновесяване на зарядите и вероятността за "химия" се увеличава - химията е следствие и се ползват физико-химични реакции.

Ето и косвено потвърждение:

https://nauka.offnews.bg/news/Novini_1/Proizhod-na-zhivota-ot-haosa-Darvinovata-evoliutciia-zapochva-predi_165583.html

Произход на живота от хаоса - Дарвиновата еволюция започва преди самия живот?

1614256971_1_559x*.jpg

Основните характеристики на полимерните молекули, като техния състав и композиция на субединиците им, са достатъчни, за да задействат процесите на селекция в правдоподобна пребиотична обстановка, демонстрира екип физици от Университета „Лудвиг Максимилиан“ в Мюнхен.

Преди да се появи животът на Земята, много физикохимични процеси на нашата планета са били силно хаотични. Множество малки съединения и полимери с различна дължина, съставени от субединици (като базите, открити в ДНК и РНК ), са присъствали във всякакви възможни комбинации. Преди да се появят химични процеси подобни на тези в живите организми, е било необходимо да се намали нивото на хаос в тези системи. В новото проучване физиците от Университета „Лудвиг Максимилиан“ (LMU), водени от Дитер Браун (Dieter Braun), показват, че основните характеристики на простите полимери, заедно с някои аспекти на пребиотичната среда, могат да доведат до процеси на селекция, които намаляват неорганизираността.

В предишни публикации изследователската група на Браун изследва как е могъл да се развие пространствен ред в малки пълни с вода камери в порести вулканични скали на морското дъно. Тези проучвания показват, че при наличието на температурни разлики и процес на термодифузия, известен като ефект на Соре, РНК веригите могат да се натрупват локално на няколко реда в зависимост от дължината.

„Проблемът е, че базовите последователности на по-дългите молекули, които получаваме, са напълно хаотични“, отбелязва Браун.

Еволюиралите рибозими (базирани на РНК ензими) имат много специфична последователност на базите, която позволява на молекулите да се сгънат в определени форми, докато по-голямата част от олигомерите (къси едноверижни фрагменти от нуклеинови киселини като ДНК и РНК), образувани на младата Земя, най-вероятно са имали случайни последователности.

„Общият брой на възможните последователности на базите, известни като „пространство на последователностите“, е невероятно голям,“ обяснява Патрик Кудела (Patrick Kudella), водещ автор на новата статия.

„Това прави практически невъзможно да се сглобят сложните структури, характерни за функционалните рибозими или сравними молекули, чрез чисто случаен процес.“

Това кара екипа на LMU да предположи, че разширяването на молекулите, за да образува по-големи „олигомери“, е предмет на някакъв механизъм на предварителен подбор.

Моделна система за ранните олигомери

Тъй като по времето на Произхода на живота е имало само няколко, много прости физични и химични процеси в сравнение със сложните репликационни механизми на клетките, изборът на последователности трябва да се основава на околната среда и свойствата на олигомерите. Тук се включват изследванията на групата на Браун.

За каталитичната функция и стабилността на олигомерите е важно те да образуват двойни вериги като добре известната спирална структура на ДНК. Това е елементарно свойство на много полимери и позволява комплекси както с дву-, така и с едноверижни части. Едноверижните части могат да бъдат реконструирани чрез два процеса. Първо, чрез така наречената полимеризация, при която веригите се допълват от единични бази, за да се образуват цялостни двойни вериги. Другият процес представлява, т. нар. лигиране. В този процес по-дългите олигомери се обединяват. Така се формират както двуверижни, така и едноверижни части, които позволяват по-нататъшен растеж на олигомера

„Нашият експеримент започва с голям брой къси ДНК вериги и в нашата моделна система за ранни олигомери използваме само две допълващи се бази, аденин и тимин“, разказва Браун.

„Предполагаме, че лигирането на вериги с произволни последователности води до образуването на по-дълги вериги, чиито последователности на базите са по-малко хаотични.“

След това групата на Браун анализира смесите от последователности, получени в тези експерименти, използвайки метод, който се използва и при анализ на човешкия геном. Тестът потвърди, че ентропията на последователностите, т.е. степента на разбърканост (неподреденост) във възстановените последователности, всъщност намалява при тези експерименти.

1475182585_7_559x*.jpgВъншно молекулите РНК и ДНК си приличат, ДНК (вдясно) образува структура, подобна на стълба (с двойки нуклеотидни бази като стъпала и захарни молекули отстрани), а РНК (вляво) оформя нещо, подобно на половин стълба. Информацията се записва от 4 „букви” - нуклеотиди, за ДНК са аденин, цитозин, гуанин и тимин, а за РНК са аденин, цитозин, гуанин и урацил.

Поява на живот от хаоса

Изследователите също така успяват да идентифицират причините за този „самогенериран“ ред. Те откриват, че по-голямата част от получените последователности попадат в два класа - със състав от бази или от 70% аденин и 30% тимин, или обратно.

„При значително по-голям дял от една от двете бази веригата не може да се сгъне и остава като реагиращ партньор за лигирането“, обяснява Браун.

По този начин в реакцията почти не се образуват нишки с половината от всяка от двете бази.

"Виждаме също как малките смущения в състава на групата от къси ДНК оставят различни зависими от позицията модели (патерни), особено в дългите вериги", разказва Браун.

Резултатът изненадва изследователите, тъй като верига от само две различни бази със специфично базово съотношение има ограничени възмосности да проявяват разлики.

„Само специални алгоритми могат да открият такива невероятни детайли“, отбелязва Аналена Салдит (Annalena Salditt), съавтор на изследването.

Експериментите показват, че най-простите и фундаментални характеристики на олигомерите и тяхната среда могат да осигурят основата на процеси на селекция. Дори в опростена моделна система могат да влязат в действие различни механизми за подбор, които оказват влияние върху растежа на веригите в различни мащаби и са резултат от различни комбинации от фактори. Според Браун тези механизми за подбор са били предпоставка за образуването на каталитично активни комплекси като рибозими и следователно са играли важна роля във възникването на живота от хаоса.

Справка: “Structured sequences emerge from random pool when replicated by templated ligation” by Patrick W. Kudella, Alexei V. Tkachenko, Annalena Salditt, Sergei Maslov and Dieter Braun, 16 February 2021, Proceedings of the National Academy of Sciences.
DOI: 10.1073/pnas.2018830118

Източник: Emergence of Life From Chaos – Did Darwinian Evolution Begin Before Life Itself?, Scitech daily

 

...

...

 

  • 5 месеца по късно...
  • Потребител
Публикувано

Браво! Счита се за доказан резултат, нещо което хипотезата обяснява - частици от светлина. Схванали са, че обемът на фотон има роля на магнитно поле. И, че фотонът има пълнеж - пакет фотон - по хипотезата - множество фотони на вакуума участват в пакет фотон. При ефективно сфазиране - се получава изкривяване на пътя на подреждане и затваряне на фотони около собствен център - демек, частица!

https://nauka.offnews.bg/news/Novini_1/Generirana-e-materiia-direktno-ot-svetlina-iavlenie-predskazano-pre_172769.html

Генерирана е материя директно от светлина - явление, предсказано преди повече от 80 години

1627720795_8_559x*.jpg

Изследване демонстрира един отдавна прогнозиран процес - генерирането на материя и антиматерия от чиста енергия директно от сблъсъци на светлина - освен това даде и доказателства, че магнетизмът може да пречупва поляризирани фотони по различни траектории във вакуум.

Учени, изучаващи сблъсъци на частици с колайдера за релативистични тежки йони RHIC (Relativistic Heavy Ion Collider) -  съоръжение на Министерството на енергетиката на САЩ за научни изследвания в областта на ядрената физика в Националната лаборатория "Брукхейвън" - са дали окончателни доказателства за два физически феномена, предсказани преди повече от 80 години. Резултатите са получени от подробен анализ на повече от 6000 двойки електрони и позитрони, произведени при сблъсъци на частици в RHIC и са публикувани в Physical Review Letters.

Основната констатация е, че двойки електрони и позитрони - частици материя и антиматерия - могат да бъдат създадени директно чрез сблъскване на високоенергийни фотони, които са квантови „пакети“ светлина. Това превръщане на високоенергийна светлина в материя е пряко следствие от известното уравнение E = mc 2 на Айнщайн, което гласи, че енергията и материята (или масата) са взаимозаменяеми. Ядрените реакции на Слънцето и в атомните електроцентрали редовно превръщат материята в енергия. Сега учените са превърнали светлинната енергия директно в материя в една стъпка.

1627720804_3_559x*.jpgГенериране на материя от светлина: Два златни (Au) йона (в червено) се движат в противоположни посоки със скорост 99.995% от скоростта на светлината (v,  скоростта е ≈ приблизително равна на c, скоростта на светлината). Когато йоните разминават, без да се сблъскват, два фотона (γ) от електромагнитния облак, обграждащ йоните, могат да взаимодействат помежду си, за да създадат двойка материя-антиматерия: електрон (e-) и позитрон (e+). Кредит: Brookhaven Natioinal Laboratory

Вторият резултат показва, че пътят на светлината, преминаващ през магнитно поле във вакуум, се пречупва различно в зависимост от това как е поляризирана тази светлина. Такова отклонение, зависимо от поляризацията (известно като двойно лъчепречупване), възниква, когато светлината преминава през определени материали. (Този ефект е подобен на начина, по който призма в зависимост от дължината на вълната пречупва и разделя бялата светлина на спектър с цветовете на дъгата.) Но това е първата демонстрация на зависимо от поляризацията пречупване на светлина във вакуум.

И двата резултата зависят от способността на детектора STAR на RHIC - соленоидния тракер в RHIC - да измерва ъгловото разпределение на частиците, произведени при сблъсъци на златни йони, движещи се със скоростта на светлината.

Сблъскващи се облаци от фотони

Такива възможности не са съществували, когато физиците Грегъри Брайт (Gregory Breit) и Джон А. Уилър (John A. Wheeler) за първи път описват хипотетичната възможност за сблъсък на светлинни частици, за да създадат двойки електрони и техните антиматериални аналози, известни като позитрони, през 1934 г.

„В своя доклад Брайт и Уилър знаеха, че това е почти невъзможно да се направи“, разказва физикът от лабораторията "Брукхейвън" Джанбу Сю (Zhangbu Xu), член на колаборацията STAR на RHIC. „Лазерите дори още не са съществували! Но Брайт и Уилър предлагат алтернатива: ускоряване на тежките йони. И тяхната алтернатива е точно това, което правим в RHIC”.

Йонът е по същество гол атом, лишен от своите електрони. Златен йон със 79 протона носи мощен положителен заряд. Ускоряването на такъв зареден тежък йон до много високи скорости генерира мощно магнитно поле, което се върти около ускоряващата се частица, докато се движи - подобно на ток, протичащ през проводник.

 

1627720815_1_559x*.jpgДетекторът STAR в Relativistic Heavy Ion Collider измерва ъгловото разпределение на частиците, произведени при сближаващи се сблъсъци на златни йони, движещи се почти със скоростта на светлината, за да предостави доказателства за две физически явления, предсказани преди повече от 80 години. Кредит: Brookhaven National Laboratory

„Ако скоростта е достатъчно висока, силата на кръговото магнитно поле може да бъде равна на силата на перпендикулярното електрическо поле“, обяснява Сю. И това разположение на перпендикулярните електрически и магнитни полета с еднаква сила е точно това, което е фотонът - квантована „частица“ светлина. "Така че, когато йоните се движат близо до скоростта на светлината, има множество фотони, заобикалящи златното ядро, пътуващи с него като облак."

В RHIC учените ускоряват златните йони до 99,995% от скоростта на светлината в два ускорителни пръстена.

"Имаме два облака от фотони, движещи се в противоположни посоки с достатъчно енергия и интензивност, така че когато двата йона преминават един покрай друг, без да се сблъскат, тези фотонни полета могат да взаимодействат", продължава Сю.

Физиците на STAR проследяват взаимодействията и търсят предсказаните двойки електрон-позитрон.

Но такива двойки частици могат да бъдат създадени чрез редица процеси в RHIC, включително чрез „виртуални“ фотони, състояние на фотон, което съществува за кратко и носи ефективна маса. За да са сигурни, че двойките материя-антиматерия идват от реални фотони, учените трябва да докажат, че приносът на „виртуалните“ фотони не променя резултата от експеримента.

За да направят това, учените от STAR анализират моделите на ъглово разпределение на всеки електрон спрямо неговия партньор позитрон. Тези модели се различават за двойки, произведени от реални фотонни взаимодействия, в сравнение с виртуални фотони.

„Ние също така измервахме цялата енергия, разпределението на масата и квантовите числа на системите. Те са в съответствие с теоретичните изчисления за това, което би се случило с реални фотони “, разказва Даниел Бранденбург (Daniel Brandenburg), сътрудник  в лабораторията "Брукхейвън", който анализира данните на STAR за това откритие.

Други учени се опитват да създадат двойки електрон-позитрон от сблъсъци на светлина, използвайки мощни лазери-фокусирани лъчи на интензивна светлина. Но отделните фотони в тези интензивни лъчи все още нямат достатъчно енергия, коментира Бранденбург.

Един експеримент в Националната ускорителна лаборатория SLAC през 1997 г. успя, използвайки нелинеен процес. Учените първо трябваше да увеличат енергията на фотоните в един лазерен лъч, като го сблъскват с мощен електронен лъч. Сблъсъците на ускорените фотони с множество фотони едновременно в огромно електромагнитно поле, създадено от друг лазер, са произвели материя и антиматерия.

„Нашите резултати предоставят ясни доказателства за директно, едноетапно създаване на двойки материя-антиматерия от светлинни сблъсъци, както първоначално бе предсказано от Брайт и Уилър“, отбелязва Бранденбург. „Благодарение на високоенергийния лъч от тежки йони в RHIC и  и прецизността на детектора STAR, ние можем да анализираме всички кинематични разпределения с висока статистика, за да установим, че експерименталните резултати наистина са в съответствие с реалните фотонни сблъсъци".

Пречупване на светлина във вакуум

Способността на STAR да измерва малките пречупвания на електрони и позитрони, произведени почти едно след друго в тези събития, също даде на физиците начин да проучат как светлинните частици взаимодействат с мощните магнитни полета, генерирани от ускорените йони.

„Облакът от фотони, заобикалящ златните йони в един от лъчите на RHIC, стреля в силно кръгово магнитно поле, произведено от ускорените златни йони в другия лъч“, обяснява Чи Ян (Chi Yang), дългогодишен сътрудник на STAR от Университета Шандонг, който прекарва цялата си кариера изучавайки двойки електрон-позитрон, произведени от различни процеси в RHIC. "Разпределението на получените частици ни показва как поляризираната светлина взаимодейства с магнитното поле".

1627720823_3_559x*.jpgПречупване на поляризирана светлина: Тази илюстрация показва как светлината с различни посоки на поляризация (обозначена с черни стрелки) преминава през материал по две различни траектории (жълти лъчи). Това се нарича ефект на двойно лъчепречупване. Резултатите от RHIC предоставят доказателства, че двойното лъчепречупване се случва и в магнитно поле във вакуум. Кредит: Brookhaven National Laboratory

Вернер Хайзенберг и Ханс Хайнрих Ойлер през 1936 г. и Джон Тол през 50-те години предсказват, че вакуумът на празното пространство може да бъде поляризиран от мощно магнитно поле и че такъв поляризиран вакуум трябва да отклонява траекториите на фотоните в зависимост от поляризацията на фотоните. Тол в своята дисертация също подробно описва как поглъщането на светлина от магнитно поле зависи от поляризацията й и неговата връзка с показателя на пречупване на светлината във вакуум. Това зависимо от поляризацията отклонение или двойно лъчепречупване се наблюдава при много видове кристали. Наскоро бе съобщено и за наблюдение на светлината на неутронна звезда, пречупваща се по този начин, вероятно поради взаимодействието й с магнитното поле на звездата. Но нито един експеримент, базиран на Земята, не е открил двойно лъчепречупване във вакуум.

В RHIC учените измерват как поляризацията на светлината влияе дали светлината е „погълната“ от магнитното поле.

Това е подобно на начина, по който поляризираните слънчеви очила блокират преминаването на определени лъчи, ако те не съвпадат с поляризацията на лещите, обяснява Ян. В случая на слънчевите очила, освен че прониква по-малко светлина, може по принцип да се измери повишаване на температурата на материала на лещата, тъй като той абсорбира енергията на блокираната светлина. В RHIC абсорбираната светлинна енергия е това, което създава електрон-позитронните двойки.

„Когато разглеждаме продуктите, получени от фотон-фотонните взаимодействия в RHIC, виждаме, че ъгловото им разпределение зависи от ъгъла на поляризация на светлината. Това показва, че поглъщането (или преминаването) на светлината зависи от нейната поляризация“, обяснява Ян.

Това е първото експериментално наблюдение, базирано на Земята, което показва, че поляризацията влияе върху взаимодействията на светлината с магнитното поле във вакуума - вакуумното двойно лъчепречупване, предсказано през 1936 г.

„И двете открития се основават на прогнози, направени от някои от големите физици в началото на 20-ти век“, коментира Франк Гертс (Frank Geurts), професор в Университета Райс, чийто екип изгражда и управлява най-съвременните “Time-of-Flight” компоненти на детектора STAR, необходими за това измерване. "Те се основават на фундаментални измервания, станали възможни едва наскоро с технологиите и техниките за анализ, които сме разработили в RHIC."

Справка: “Measurement of e+e- Momentum and Angular Distributions from Linearly Polarized Photon Collisions” by J. Adam et al. (STAR Collaboration), 27 July 2021, Physical Review Letters.
DOI: 10.1103/PhysRevLett.127.052302

Източник: Scientists Generate Matter Directly From Light – Physics Phenomena Predicted More Than 80 Years Ago, Brookhaven National Laboratory

...

 

...

  • Потребител
Публикувано
Преди 11 часа, Малоум 2 said:

Генерирана е материя директно от светлина ...

Браво наистина. Голям напредък ... но още не са генерирали водороден атом от светлина.
Като го направят, пак да се обядят :ag:.

  • Потребител
Публикувано
Преди 16 часа, gmladenov said:

Браво наистина. Голям напредък ... но още не са генерирали водороден атом от светлина.
Като го направят, пак да се обядят :ag:.

Той, водородът, "сам" се прави. (при наличие на електрони и протони). След анихилация на зарядите на протон и електрон при направа водород, остатъчните поляризации (от преди водороден атом) на полето, локално е вероятно да се кръстосват с други и така да се образуват, около  собствен център, неутрални области от сдвоени вакфотони, към които е вероятно сфазирано, сателитно да се "захване" и друго подобно. Образува се нова обвивка и общо стават: керн+обвивка, среден (мезонен) слой и +обвивка-реакция на всичкото. Това е неутрон (прилича на малки порции тъмна материя. Следва да се доуточни - помага "кварковата" хипотеза - при облъчване с висока честота, отделните части се проявяват като "очички", заради общо преизлъчване от образуванието). Забавянето в процес на структуриране на обвивките ги прави сравнително бавни (тежки) частици. Не могат "веднага" да се разпаднат. Гравитационно се привличат.

В зависимост от относителната скорост на неутроните (при колектив) и сечение на реакцията, неутроните се разпадат и дават протон, електрон, анти-неутрино, гама лъчение.

...

  • Потребител
Публикувано
Преди 38 минути, Малоум 2 said:

Той, водородът, "сам" се прави. (при наличие на електрони и протони). След анихилация на зарядите на протон и електрон при направа водород, остатъчните поляризации (от преди водороден атом) на полето, локално е вероятно да се кръстосват с други и така да се образуват, около  собствен център, неутрални области от сдвоени вакфотони, към които е вероятно сфазирано, сателитно да се "захване" и друго подобно. Образува се нова обвивка и общо стават: керн+обвивка, среден (мезонен) слой и +обвивка-реакция на всичкото. Това е неутрон (прилича на малки порции тъмна материя. Следва да се доуточни - помага "кварковата" хипотеза - при облъчване с висока честота, отделните части се проявяват като "очички", заради общо преизлъчване от образуванието). Забавянето в процес на структуриране на обвивките ги прави сравнително бавни (тежки) частици. Не могат "веднага" да се разпаднат. Гравитационно се привличат.

В зависимост от относителната скорост на неутроните (при колектив) и сечение на реакцията, неутроните се разпадат и дават протон, електрон, анти-неутрино, гама лъчение.

...

До сега не е получена тежка частица на материята, адрон, протони и неутрони, от гама радиация. Затова не може да получат водороден атом от гама фотони, получават само леките позитрони и електрони. Навярно гама фотоните са някаква формация на веществените електрони и позитрони. Има големи съмнения сред физиците , че откритите гравитационни вълни от LIGO са просто някакви смущения с неизяснен произход, но ще видим развитието на нещата по този казус.

  • Потребител
Публикувано
Преди 3 часа, gooogle≪soft≫ said:

До сега не е получена тежка частица на материята, адрон, протони и неутрони, от гама радиация. Затова не може да получат водороден атом от гама фотони, получават само леките позитрони и електрони. Навярно гама фотоните са някаква формация на веществените електрони и позитрони. Има големи съмнения сред физиците , че откритите гравитационни вълни от LIGO са просто някакви смущения с неизяснен произход, но ще видим развитието на нещата по този казус.

И по хипотезата е така😎 - гама-фотоните са от вече  готови веществени частици. Сравнително "дълъг"-пакет фотони са от тези в ядрата - глуони, които също, засега са веществени, в смисъл -от вече готови структури. Съм ги структурирал като "фотони за връзка" но - недосегаеми за управления при експерименти - много "къс"-пакет фотони са.

За да е устойчива една веществена частица във времето и пространството, трябва: да е неутрална (незаредена, напр. неутрон) или, ако е заредена, за структурирането й като цяло, да се ползват фотони ЕМПоле от цялата околност ..., та до "безкрайност". Но след като протони могат да се получат от разпад на неутрони - вероятно е да се структурират неутрони, сърфиращи върху етерните частици. От това, че етерните  са неподвижни по място, то достатъчно е да се организират множество "остатъчни" фотони (от предшестваща електрон-позитронна анихилация) около център и да направят обвивка от потенциал - потушава се отвсякъде възможност за движение, но поради закъснителни процеси, като цяло - обвивката със съдържимото-образуващото я - се движи по инерция, като едно цяло - вакуум-неутрон - обект (дето го търсят като частица тъмна материя). При сфазиране-"удар" на два вакуум-неутрона - се получават  нови частици с придобити характеристики. При вещеви неутрон - симетрична външна обвивка, заради наличие на мезон (като сателит на центъра), който допълва външния слой и завихрянето е много-много слабо. Вещевият неутрон е леко отрицателен.

...

  • Потребител
Публикувано
Преди 5 часа, gooogle≪soft≫ said:

Има големи съмнения сред физиците , че откритите гравитационни вълни от LIGO са просто някакви смущения с неизяснен произход, но ще видим развитието на нещата по този казус.

Аз лично съм абсолютно убеден в това. Никакви гравитационни вълни няма (което го твърдя само на интуиция, без факти).

  • Потребител
Публикувано (edited)
Преди 3 часа, gmladenov said:

Аз лично съм абсолютно убеден в това. Никакви гравитационни вълни няма (което го твърдя само на интуиция, без факти).

ОТО, предсказва гравитационни вълни които се получават според теорията от ускоряващи се големи маси, не само черни дупки, но и неутрони звезди, бели джуджета, пулсари , и.т н. Всички тези космически обекти се движат по орбити, следователно се движат с ускорение, значи космоса трябва да гъмжи от гравитационни вълни. А откритите уж гравитационни вълни от LIGO са много мижави. 😔

Редактирано от gooogle≪soft≫
  • Потребител
Публикувано
Преди 9 часа, gooogle≪soft≫ said:

ОТО, предсказва гравитационни вълни които се получават според теорията от ускоряващи се големи маси, не само черни дупки, но и неутрони звезди, бели джуджета, пулсари , и.т н. Всички тези космически обекти се движат по орбити, следователно се движат с ускорение, значи космоса трябва да гъмжи от гравитационни вълни. А откритите уж гравитационни вълни от LIGO са много мижави. 😔

Получават се като първа производна от ускорението, а не от самото ускорение. В случая с орбитите основната енергия идва от тяхната промяна. Затова са толкова слаби. Примерно земната орбита дава около 200 вата. Ходи ги засечи.

  • Потребител
Публикувано (edited)
Преди 2 часа, Кухулин said:

Получават се като първа производна от ускорението, а не от самото ускорение. В случая с орбитите основната енергия идва от тяхната промяна. Затова са толкова слаби. Примерно земната орбита дава около 200 вата. Ходи ги засечи.

Значи променливо ускорение, точно такова е движението по орбити. В афелий ускорението достига минимум, а в перихелий максимум.  Енергията на такова ускорение е огромна, даже се пресмята по класически формули. Питам защо не гъмжи тогава от прословутите гравитационни вълни на ОТО. 🤔

Редактирано от gooogle≪soft≫
  • Потребител
Публикувано

Ако промяната в ускорението по движение по орбити не е достатъчно , за да се генерират гравитационни вълни с мощност която да може да се детектира, тогава промяната в ускорението от сблъсък на космически обекти, би трябвало да е голяма. Във вселената съществуват безброй космически обекти огромна част от които се сблъскват. Защо тогава гравитационни вълни, не са често срещани ? 😏

  • Глобален Модератор
Публикувано
Преди 22 минути, gooogle≪soft≫ said:

Значи променливо ускорение, точно такова е движението по орбити. В афелий ускорението достига минимум, а в перихелий максимум.  Енергията на такова ускорение е огромна, даже се пресмята по класически формули. Питам защо не гъмжи тогава от прословутите гравитационни вълни на ОТО.

Не стоят така нещата. При малки (нерелативистични скорости) ускорението и неговата промяна не играят никаква роля. Тяхното влияние се проявява само на крайният етап преди сблъскване на двете тела, когато скоростите им на въртене станат релативистични, близки до тази на светлината.

Ето (от ТУК) каква е излъчваната мощност на гравитационните вълни:

1128ec7cf8a9fbae9e347f7adf59b1f4590c03a5

Както виждаш, намалява с пета степен на разстоянието. Тоест съществена мощност ще се излъчва едва на края преди колизията, при нормални орбити тази мощност е пренебрежима. Преди колизията във формулата се появяват допълнително релативистски членове, което вдига излъчваната енергия с порядъци.

Представи си 200-те вата на земята как се разпределят равномерно по сфера, отдаалечавайки се от слънчевата система, и каква част от нея може да се регистрира например съвсем близо, на Алфа Кентавър например. Никаква.

А LIGO регистрира колизии на милиард светлинни години, които наистина излъчват достатъчно енергия. Останалите гравитационни вълни за съжаление са с интензивност много под чувствителността на сегашните ни уреди. Но много усилено се работи по този въпрос :)

Преди 12 часа, gooogle≪soft≫ said:

ОТО, предсказва гравитационни вълни които се получават според теорията от ускоряващи се големи маси, не само черни дупки, но и неутрони звезди, бели джуджета, пулсари , и.т н. Всички тези космически обекти се движат по орбити, следователно се движат с ускорение, значи космоса трябва да гъмжи от гравитационни вълни. А откритите уж гравитационни вълни от LIGO са много мижави. 😔

Да, космоса гъмжи от гравитационни вълни. Но за съжаление уредите ни още не са съвършени за да ги хващаме, защото мощността им е нищожна. Откриваме каквото можем.

  • Потребител
Публикувано
Преди 1 час, gooogle≪soft≫ said:

Значи променливо ускорение, точно такова е движението по орбити. В афелий ускорението достига минимум, а в перихелий максимум.  Енергията на такова ускорение е огромна, даже се пресмята по класически формули. Питам защо не гъмжи тогава от прословутите гравитационни вълни на ОТО. 🤔

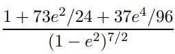
Така е, при ексцентричните орбити се отделя по-голяма енергия. Пропорционална е на ето това:

orb_ecc.jpg.95406d5531acd9635f1ad62a6d5fe8c7.jpg

Можеш да сметнеш колко е огромна за орбитата на Земята.

Преди 38 минути, gooogle≪soft≫ said:

Ако промяната в ускорението по движение по орбити не е достатъчно , за да се генерират гравитационни вълни с мощност която да може да се детектира, тогава промяната в ускорението от сблъсък на космически обекти, би трябвало да е голяма. Във вселената съществуват безброй космически обекти огромна част от които се сблъскват. Защо тогава гравитационни вълни, не са често срещани ? 😏

Защото сблъсъците, при които се отделя енергия от порядъка на много слънчеви маси, не са кой знае колко чести. И слава богу.

  • Потребител
Публикувано
Преди 18 минути, gooogle≪soft≫ said:

Ако промяната в ускорението по движение по орбити не е достатъчно , за да се генерират гравитационни вълни с мощност която да може да се детектира, тогава промяната в ускорението от сблъсък на космически обекти, би трябвало да е голяма. Във вселената съществуват безброй космически обекти огромна част от които се сблъскват. Защо тогава гравитационни вълни, не са често срещани ? 😏

В хипотезата съм възприел обяснения, на гравитационна сила, с гравитони. Като преди това съм споменал какво наричаме "сила" - (с ентропиен произход - повтаряне на подредбата на частиците - във външно за тях поле). Поради непрестанното им себе-образуване с огромна честота, то преместването им ще зависи от подреждане на вакуума около тях - образуват се по посока минимална енергия за себе образуване - движение по инерция. Ако принудително се промени полето в някаква посока, т. е., въздейства нехомогенно поле, то се проявява характеристиката "маса" - коефициент на съпротива срещу принудително движение на частицата, като цялостно образувание - обвивката "следва движения" от външното поле, но центърът - закъснява и образуването му, като че ли "дърпа" обвивката към ново, неравновесно място за образуване. Получава се ускоряване, заради нарушаване на синхрон в цялостното образуване по слоеве. Структурата "гравитон"- две взаимно перпендикулярни трептения, "излъчващи се" в околната на керна среда -  е информация в полето за подреждане на централната част-керн на частицата. Честотата на излъчване  на такава структура е пропорционална на честотата на образуване на керна, пропорционална на "маса при покой" на частицата.

Така, около частицата се "излъчват" гравитони - сферично симетрично - кванти на гравитационно поле. Пробно тяло е също от подобни (масови) частици - и също излъчват гравитони. Когато керна на частица попадне на гравитон, излъчен от другото тяло, то образуването на керна е по посока на "пристигащия" гравитон, защото ще е с най-малка енергия на образуване на себе си - т. е., поглъща се чужд гравитон, образува се керна и се излъчва собствен гравитон. Това е гравитационно взаимодействие - масите на частиците са "отговорни" за него. Броят на гравитоните "преди" взаимодействието, се запазва "след" тялото - все едно, че двете тела са едно цяло. Но понеже принудителното образуване върху чужд гравитон е "сила" - стъпка към идващия гравитон, то тая сила е сила на привличане, с възможно най-дребното образувание от веществен произход - най-малка амплитуда на трептенията - тоест - най-слабата сила. Така, при движението си, телата падат едно към друго, въртейки се едно спрямо друго, около моментно общ център. Гравитоните не "правят" вълни - действат като "в насипно" състояние (при гиро-подобното движение на маси)- но наличието на промяна на маса в пространство времето (анихилация на масови частици), прави подобно "механични" вълни, разпространение на вълнов процес в/по себе си.

...

  • Потребител
Публикувано
Преди 57 минути, Кухулин said:

Така е, при ексцентричните орбити се отделя по-голяма енергия. Пропорционална е на ето това:

orb_ecc.jpg.95406d5531acd9635f1ad62a6d5fe8c7.jpg

Можеш да сметнеш колко е огромна за орбитата на Земята.

Защото сблъсъците, при които се отделя енергия от порядъка на много слънчеви маси, не са кой знае колко чести. И слава богу.

Избухването на свръх нова звезда също е движение с ускорение, свръх нови не избухват всеки ден, но са често срещани явления за космически астрономически порядъци от време.

  • Потребител
Публикувано
Преди 1 час, scaner said:

Не стоят така нещата. При малки (нерелативистични скорости) ускорението и неговата промяна не играят никаква роля. Тяхното влияние се проявява само на крайният етап преди сблъскване на двете тела, когато скоростите им на въртене станат релативистични, близки до тази на светлината.

Ето (от ТУК) каква е излъчваната мощност на гравитационните вълни:

1128ec7cf8a9fbae9e347f7adf59b1f4590c03a5

Както виждаш, намалява с пета степен на разстоянието. Тоест съществена мощност ще се излъчва едва на края преди колизията, при нормални орбити тази мощност е пренебрежима. Преди колизията във формулата се появяват допълнително релативистски членове, което вдига излъчваната енергия с порядъци.

Представи си 200-те вата на земята как се разпределят равномерно по сфера, отдаалечавайки се от слънчевата система, и каква част от нея може да се регистрира например съвсем близо, на Алфа Кентавър например. Никаква.

А LIGO регистрира колизии на милиард светлинни години, които наистина излъчват достатъчно енергия. Останалите гравитационни вълни за съжаление са с интензивност много под чувствителността на сегашните ни уреди. Но много усилено се работи по този въпрос :)

Да, космоса гъмжи от гравитационни вълни. Но за съжаление уредите ни още не са съвършени за да ги хващаме, защото мощността им е нищожна. Откриваме каквото можем.

Пулсарите са често срещани космически обекти, при тях има движение на акрециоони дискове от плазма със релативистки скорости, в млечния път има доста черни дупки, би трябвало гравитационните вълни с достатъчна мощност за да се прихванат, да не са чак толкова рядко явление в космоса. 🌝

Напиши мнение

Може да публикувате сега и да се регистрирате по-късно. Ако вече имате акаунт, влезте от ТУК , за да публикувате.

Guest
Напиши ново мнение...

×   Pasted as rich text.   Paste as plain text instead

  Only 75 emoji are allowed.

×   Your link has been automatically embedded.   Display as a link instead

×   Вашето предишно съдържание е възстановено.   Изчистване на редактора

×   You cannot paste images directly. Upload or insert images from URL.

Зареждане...

За нас

"Форум Наука" е онлайн и поддържа научни, исторически и любопитни дискусии с учени, експерти, любители, учители и ученици.

За своята близо двайсет годишна история "Форум Наука" се утвърди като мост между тези, които знаят и тези, които искат да знаят. Всеки ден тук влизат хиляди, които търсят своя отговор.  Форумът е богат да информация и безкрайни дискусии по различни въпроси.

Подкрепи съществуването на форумa - направи дарение:

Дари

 

 

За контакти:

×
×
  • Create New...
/* Revenue-Ads-Footer */ /* За дарение */
×

Подкрепи форума!

Дори малко дарение от 5-10 лева от всеки, който намира форума за полезен, би направило огромна разлика. Това не е просто финансова подкрепа - това е вашият начин да кажете "Да, този форум е важен за мен и искам да продължи да съществува". Заедно можем да осигурим бъдещето на това специално място за споделяне на научни знания и идеи.